Laatste update :
18/03/2026
geneesmiddel tegen kanker   Paclitaxel  
injecteerbaar geneesmiddel
Stabiliteit in oplossing Stabiliteit in mengsels Factoren die de stabiliteit beïnvloeden Verenigbaarheden Toedieningswijze Literatuur pdf
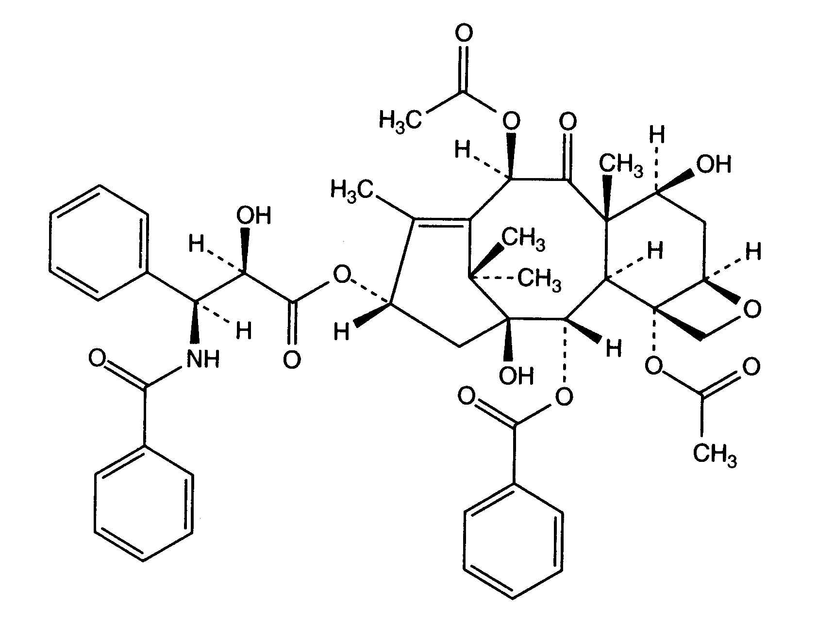
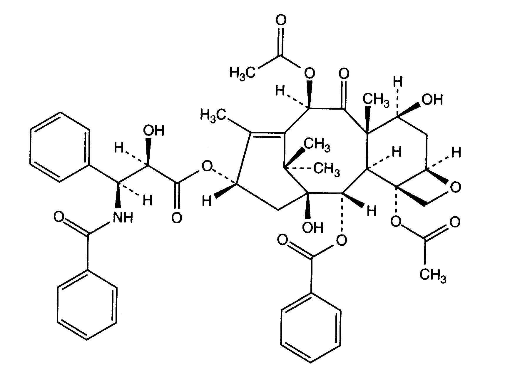
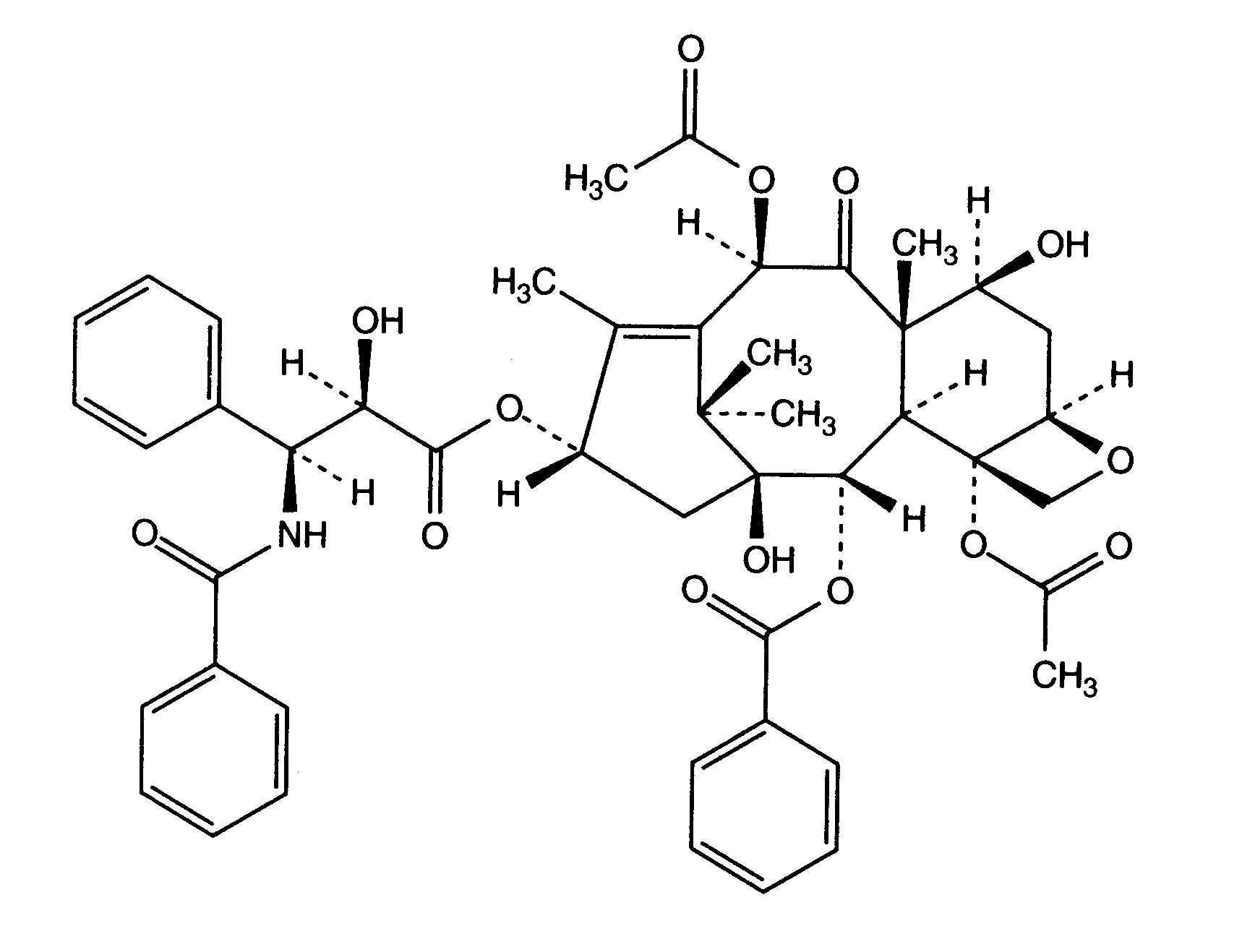
   Molecuulstructuur  

Merknamen in verschillende landen   Merknamen in verschillende landen     

Handelsnamen zijn slechts een indicatie; de samenstelling van hulpstoffen kan per land variëren afhankelijk van de fabrikant

Aclipak Maleisië
Acoexcel Mexico
Acupaxil Marokko
Anzatax Egypte, Iran, Maleisië, Marokko, nieuw Zeeland, Peru, Saudi-Arabië, Tunisie, Turkije, Verenigde Arabische Emiraten
Aritaxel Duitsland
Cantaxel Indië
Clitaxel Argentinië, Venezuela
Dalys Argentinië
Ebetaxel Iran, Marokko, Oostenrijk, Saudi-Arabië, Tunisie, Turkije
Genexol Egypte, Indië, Iran
Onxol USA
Paclinova Argentinië
Paclitaxin Brazilië, Luxemburg, Maleisië, Slovenië
Parexel Brazilië, Colombia, Ecuador, Venezuela
Paxene Denemarken, Griekenland, Ierland, Nederland, Polen, Spanje
Poltaxel Polen
Ribotax Duitsland
Taxol Brazilië, Colombia, Denemarken, Egypte, Griekenland, Iran, Italië, Japan, Maleisië, Marokko, Nederland, nieuw Zeeland, Oostenrijk, Peru, Polen, Portugal, Slovenië, Turkije, Venezuela, Verenigde Arabische Emiraten, Zweden, Zwitserland
Taxomedac Duitsland
Vitax Brazilië, Peru, Turkije
Toedieningswijze   Toedieningswijze :Paclitaxel     
Voie
Intraveneus infuus
Continu infuus

  Mentions Légales