zadnja posodobitev :
18/03/2026
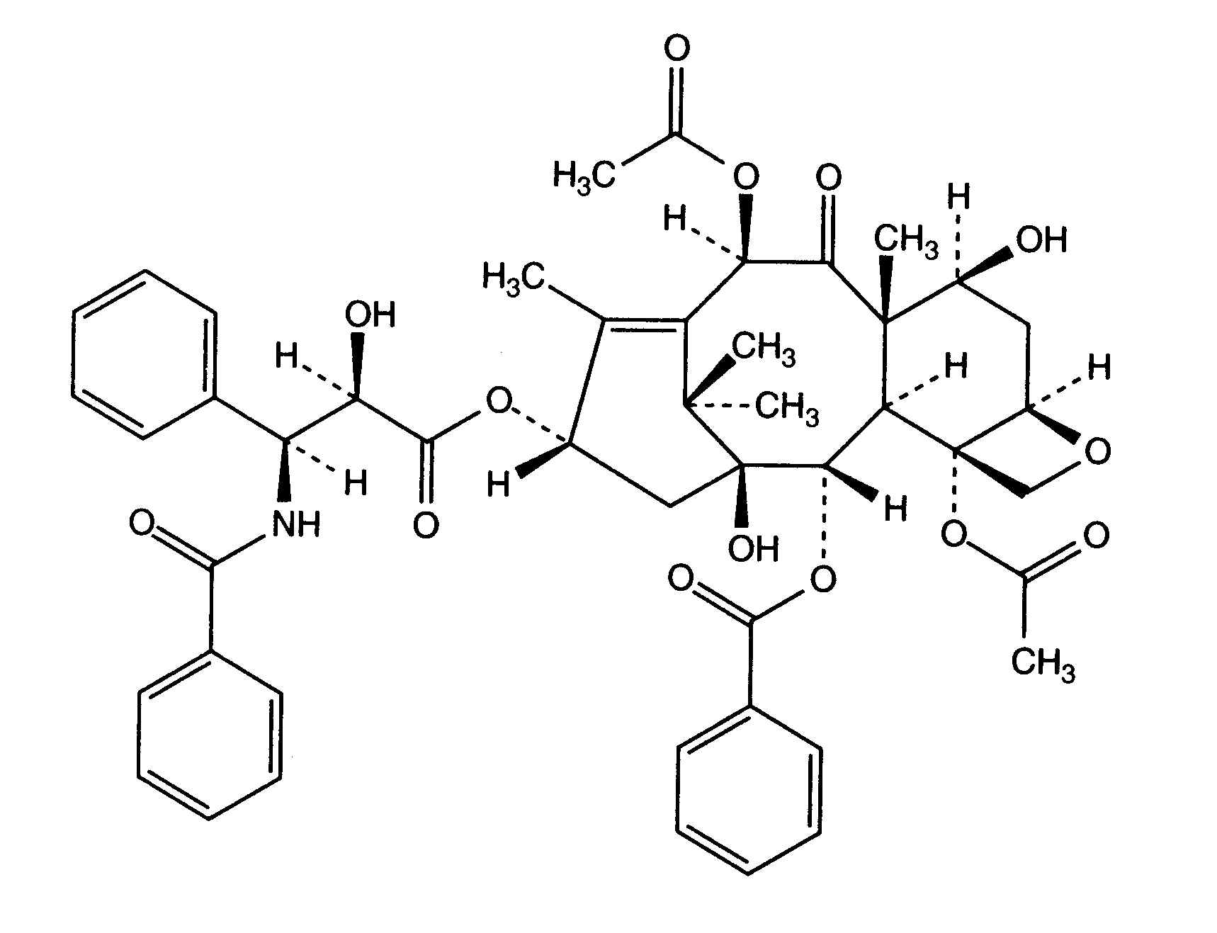
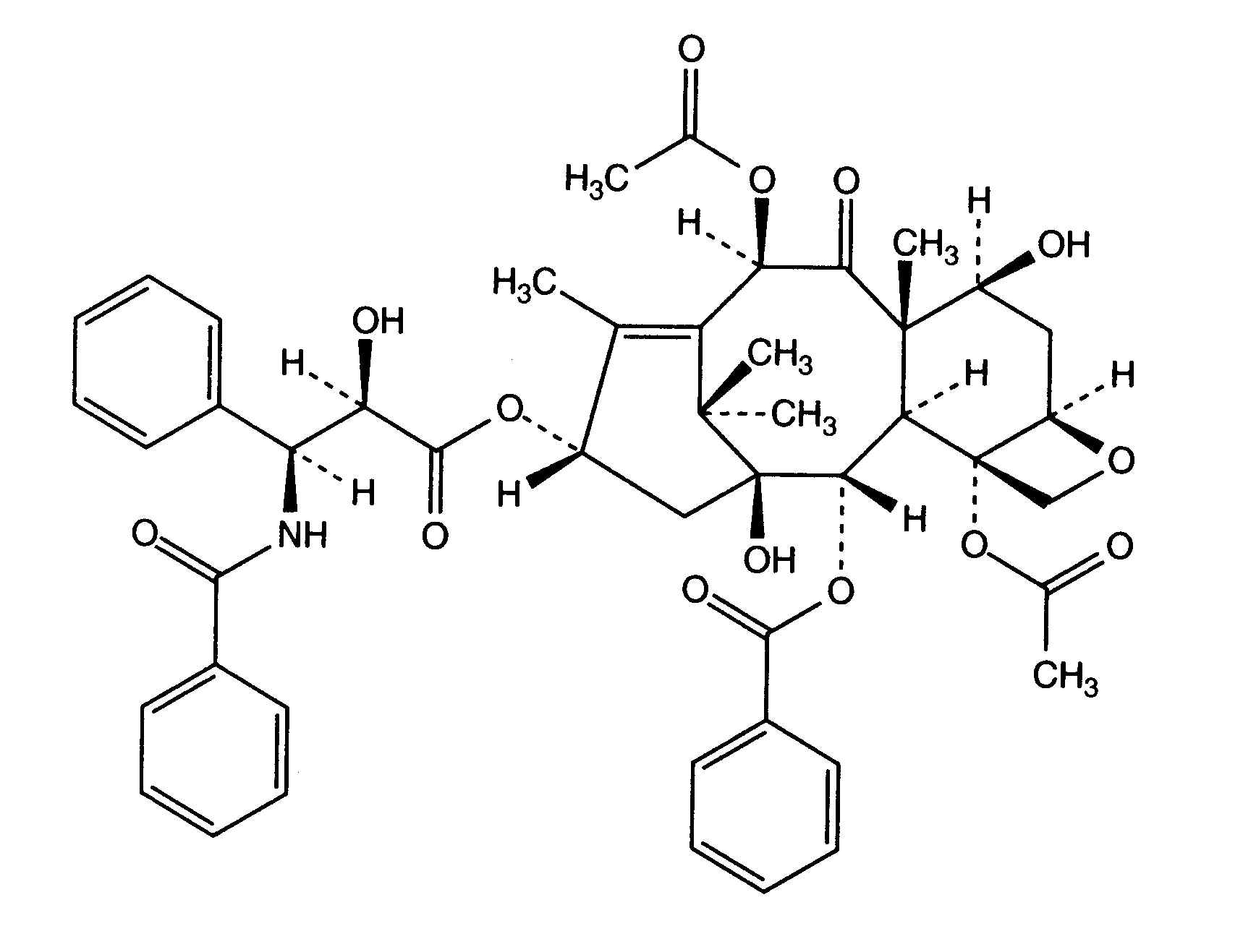
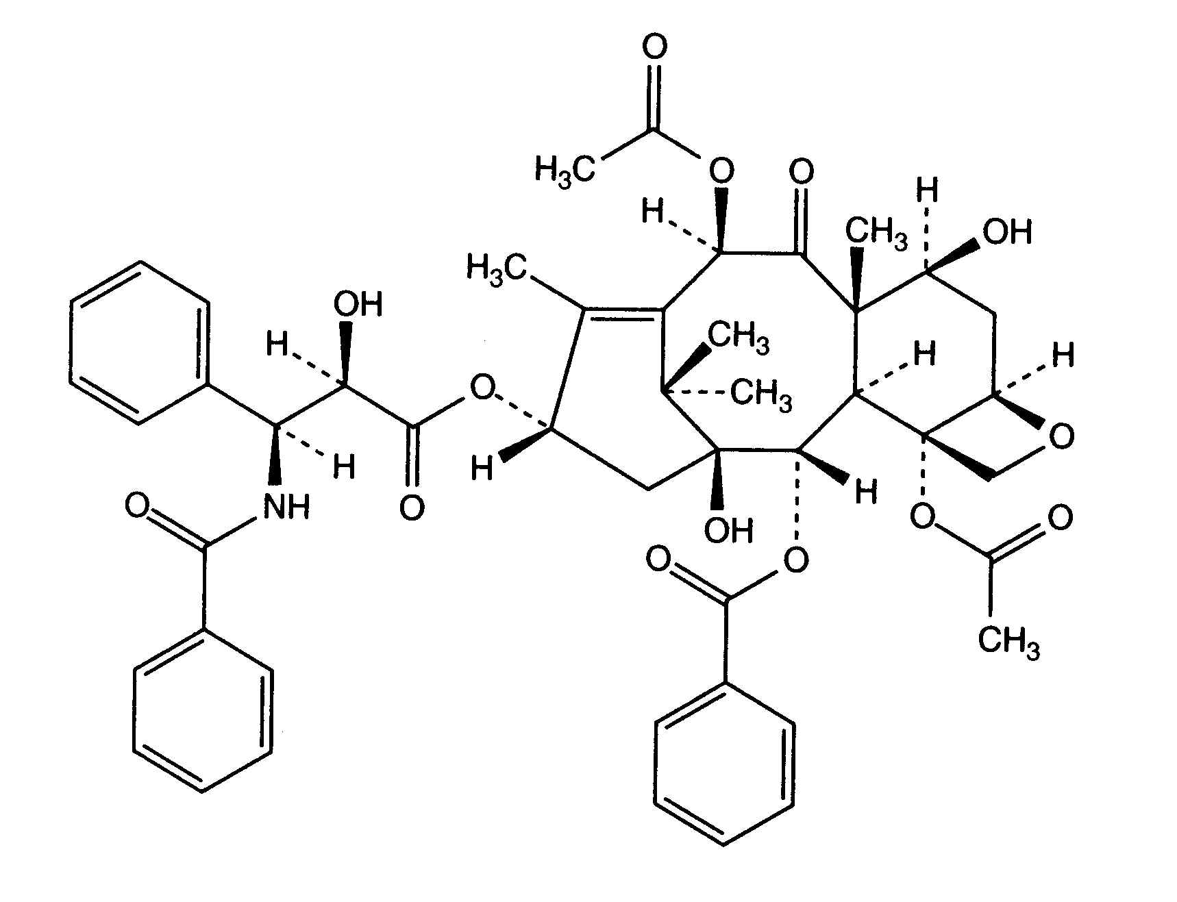
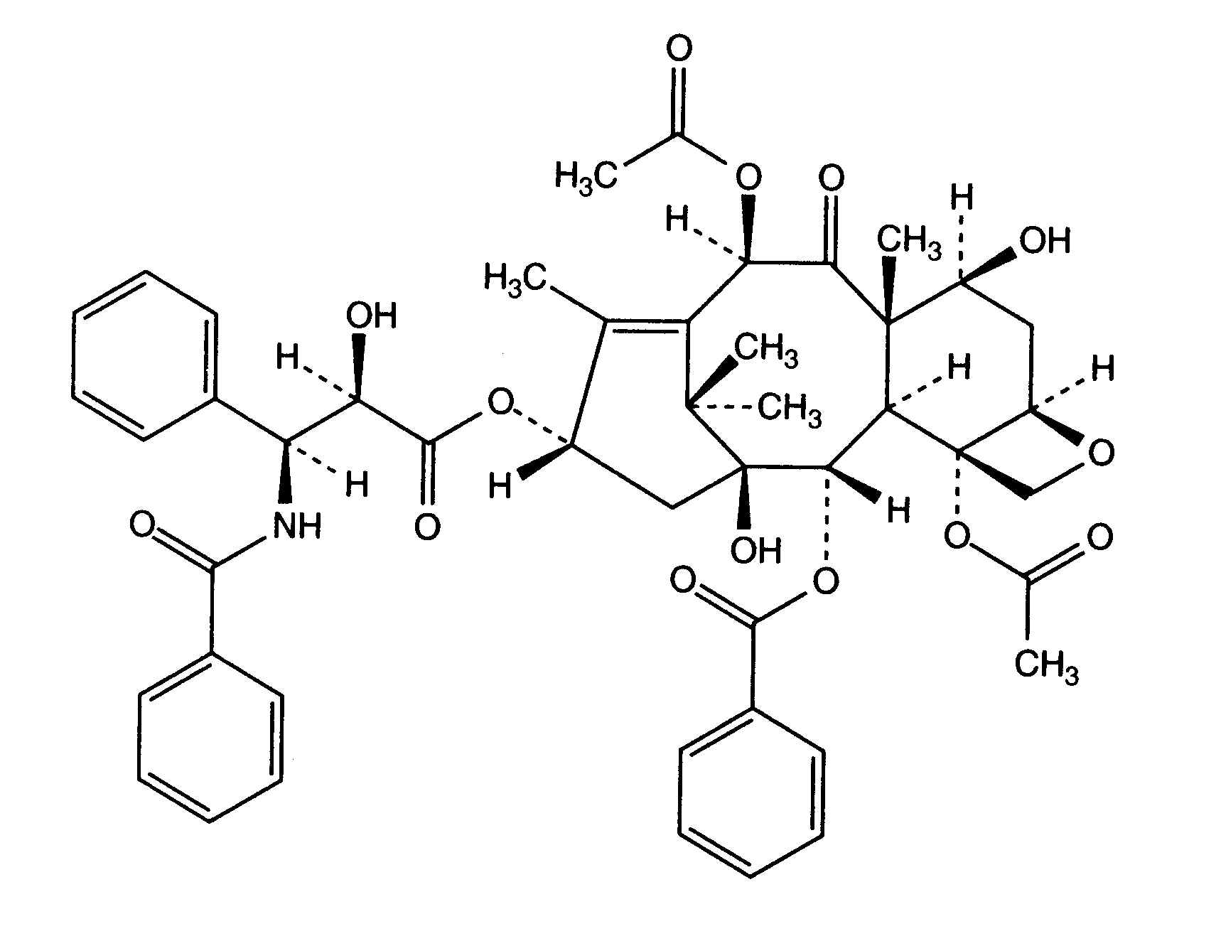
rak drog   Paclitaxel  
Brizgalka
Stabilnost raztopine Stabilnost mešanice Faktorji, ki vplivajo na stabilnost Kompatibilnost način aplikacije Viri pdf
   Kemična formula  

Lastniško ime   Lastniško ime     

Sestava pomožnih snovi je med paralelami lahko različna

Aclipak Malezija
Acoexcel Mehika
Acupaxil Maroko
Anzatax Egipt, Iran, Malezija, Maroko, nova Zelandija, Peru, Savdska Arabija, Tunizija, Turčija, Združeni arabski emirati
Aritaxel Nemčija
Cantaxel Indija
Clitaxel Argentina, Venezuela
Dalys Argentina
Ebetaxel Avstrija, Iran, Maroko, Savdska Arabija, Tunizija, Turčija
Genexol Egipt, Indija, Iran
Onxol Združene države Amerike
Paclinova Argentina
Paclitaxin Brazilija, Luksemburg, Malezija, Slovenija
Parexel Brazilija, Ekvador, Kolumbija, Venezuela
Paxene Danska, Grčija, Irska, Nizozemska, Poljska, Španija
Poltaxel Poljska
Ribotax Nemčija
Taxol Avstrija, Brazilija, Danska, Egipt, Grčija, Iran, Italija, Japonska, Kolumbija, Malezija, Maroko, Nizozemska, nova Zelandija, Peru, Poljska, Portugalska, Slovenija, Švedska, Švica, Turčija, Venezuela, Združeni arabski emirati
Taxomedac Nemčija
Vitax Brazilija, Peru, Turčija
način aplikacije   način aplikacije :Paclitaxel     
Voie
Intravenska infuzija
Neprekinjena infuzija

  Mentions Légales