Последно актуализиране :
18/03/2026
противораково лекарство   Paclitaxel  
Инжекция/Инжекционен
Стабилност на разтвори Стабилност на смеси Фактори, повлияващи стабилността Съвместимост Път на въвеждане Библиография Pdf
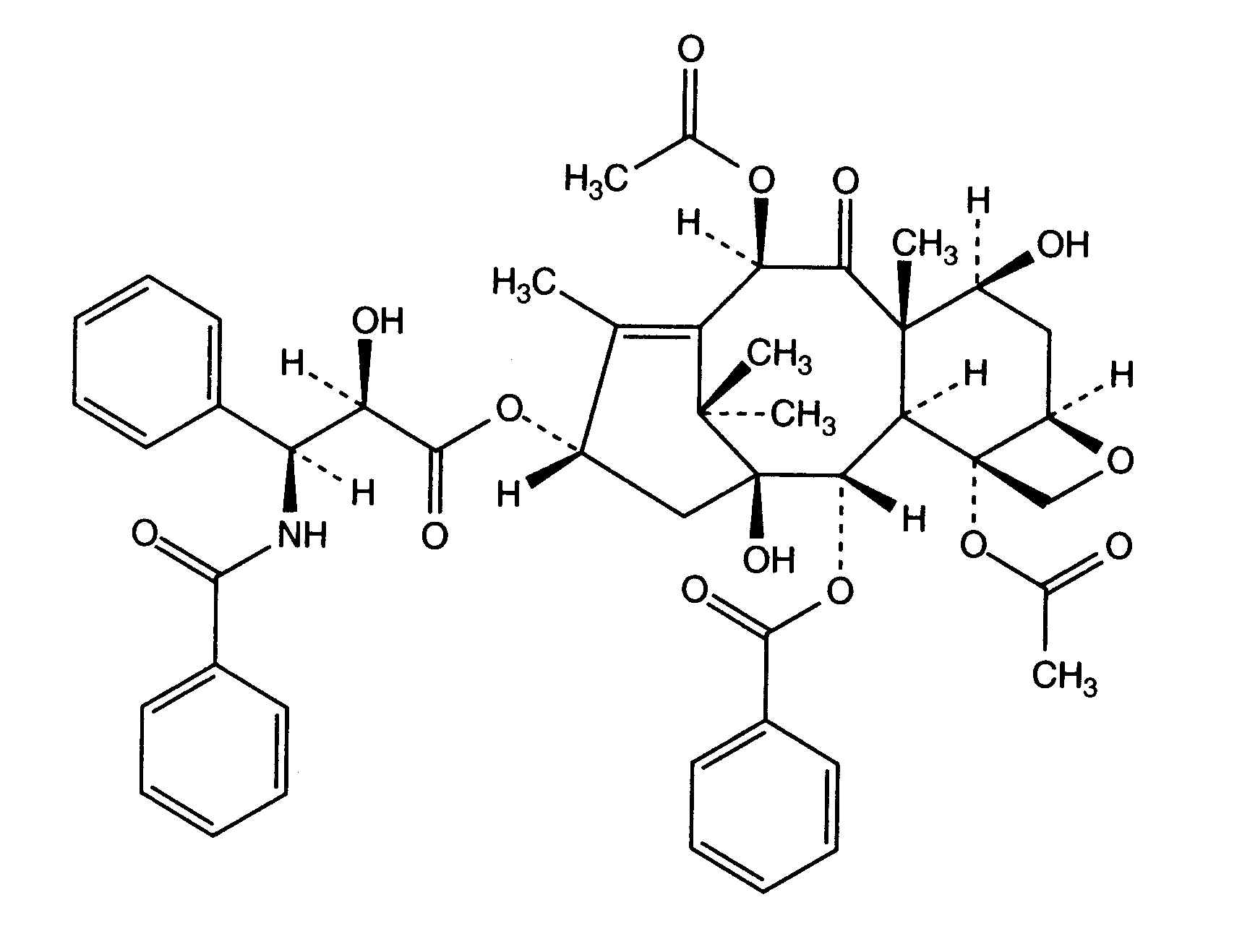
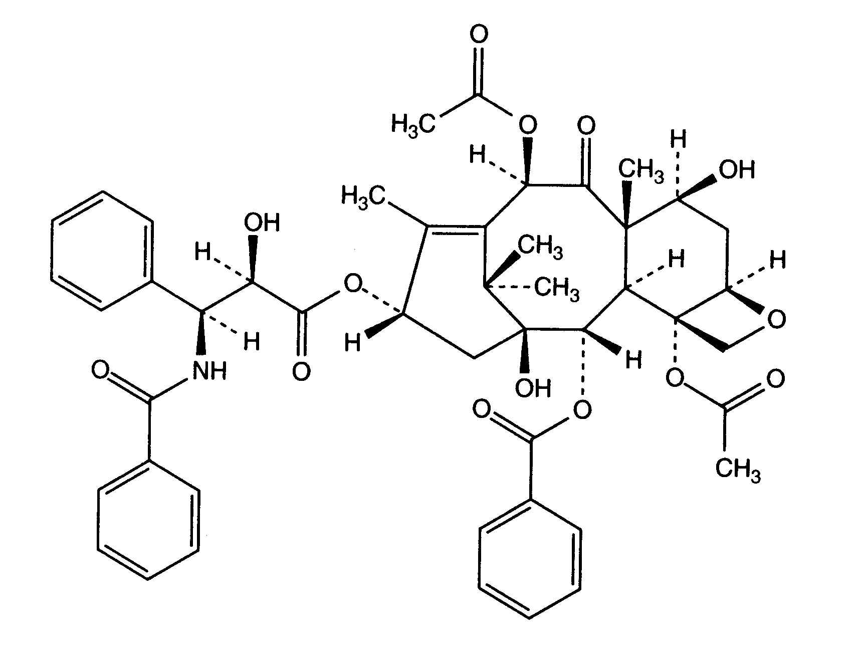
   Химична структура  

Търговско наименование   Търговско наименование     

Търговските имена са примерни и съставът на помощните вещества може да бъде различен в зависимост от държавата и лабораториите

Aclipak Малайзия
Acoexcel Мексико
Acupaxil Мароко
Anzatax Египет, Иран, Малайзия, Мароко, нова Зеландия, Обединени арабски емирства, Перу, Саудитска Арабия, Тунис, Турция
Aritaxel Германия
Cantaxel Индия
Clitaxel Аржентина, Венецуела
Dalys Аржентина
Ebetaxel Австрия, Иран, Мароко, Саудитска Арабия, Тунис, Турция
Genexol Египет, Индия, Иран
Onxol Съединени Американски щати / САЩ
Paclinova Аржентина
Paclitaxin Бразилия, Люксенбург, Малайзия, Словения
Parexel Бразилия, Венецуела, Еквадор, Колумбия
Paxene Гърция, Дания, Ирландия, Испания, Полша, Холандия
Poltaxel Полша
Ribotax Германия
Taxol Австрия, Бразилия, Венецуела, Гърция, Дания, Египет, Иран, Италия, Колумбия, Малайзия, Мароко, нова Зеландия, Обединени арабски емирства, Перу, Полша, Португалия, Словения, Турция, Холандия, Швейцария, Швеция, Япония
Taxomedac Германия
Vitax Бразилия, Перу, Турция
Път на въвеждане   Път на въвеждане :Paclitaxel     
Voie
Интравенозна инфузия
Продължителна инфузия

  Mentions Légales