Seneste opdatering :
18/03/2026
anticancer medicin   Paclitaxel  
Injektion
Stabilitet i (vandige) opløsninger Stabilitet i blandinger Faktorer der påvirker stabiliteten Kompatibilitet Administrationsvej Bibliografi pdf
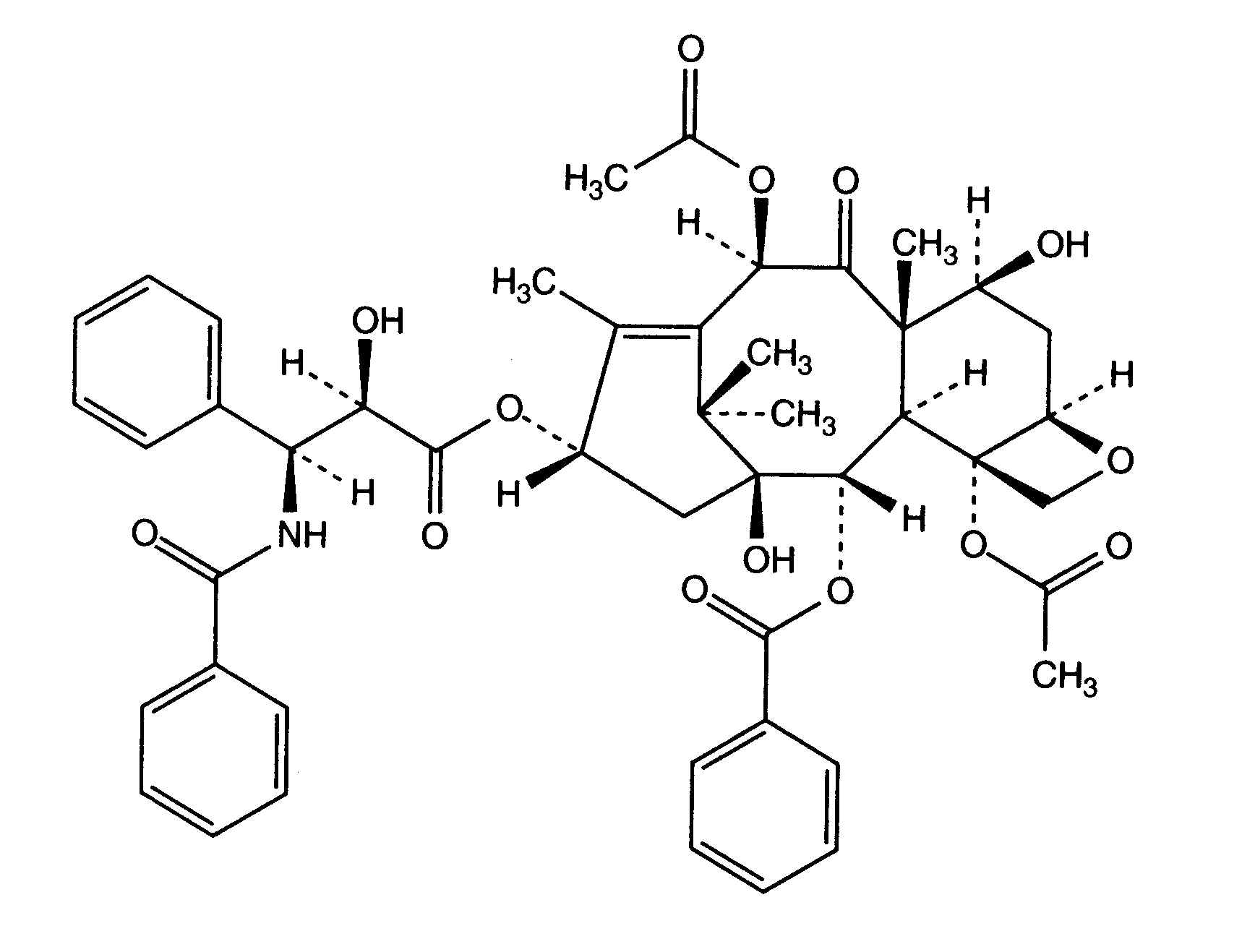
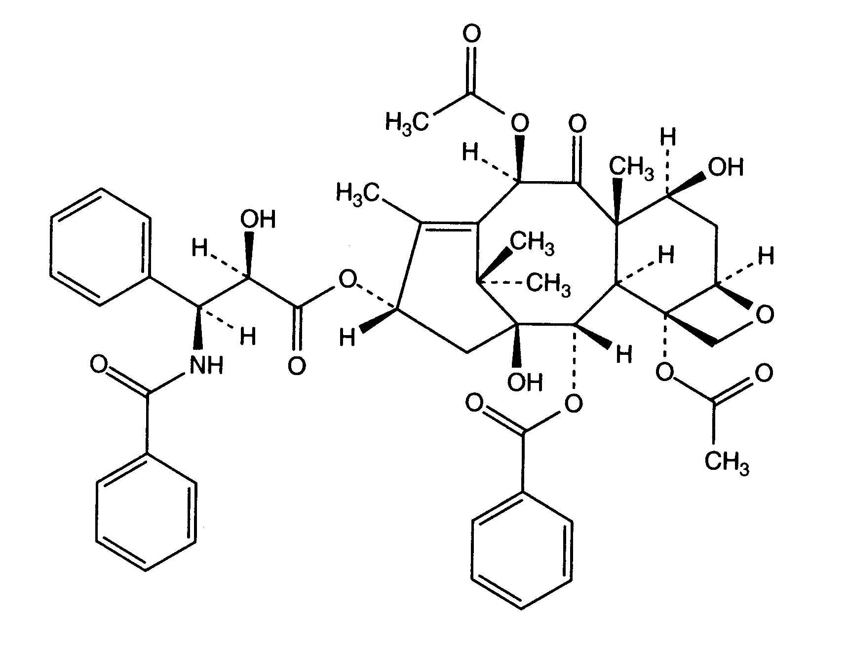
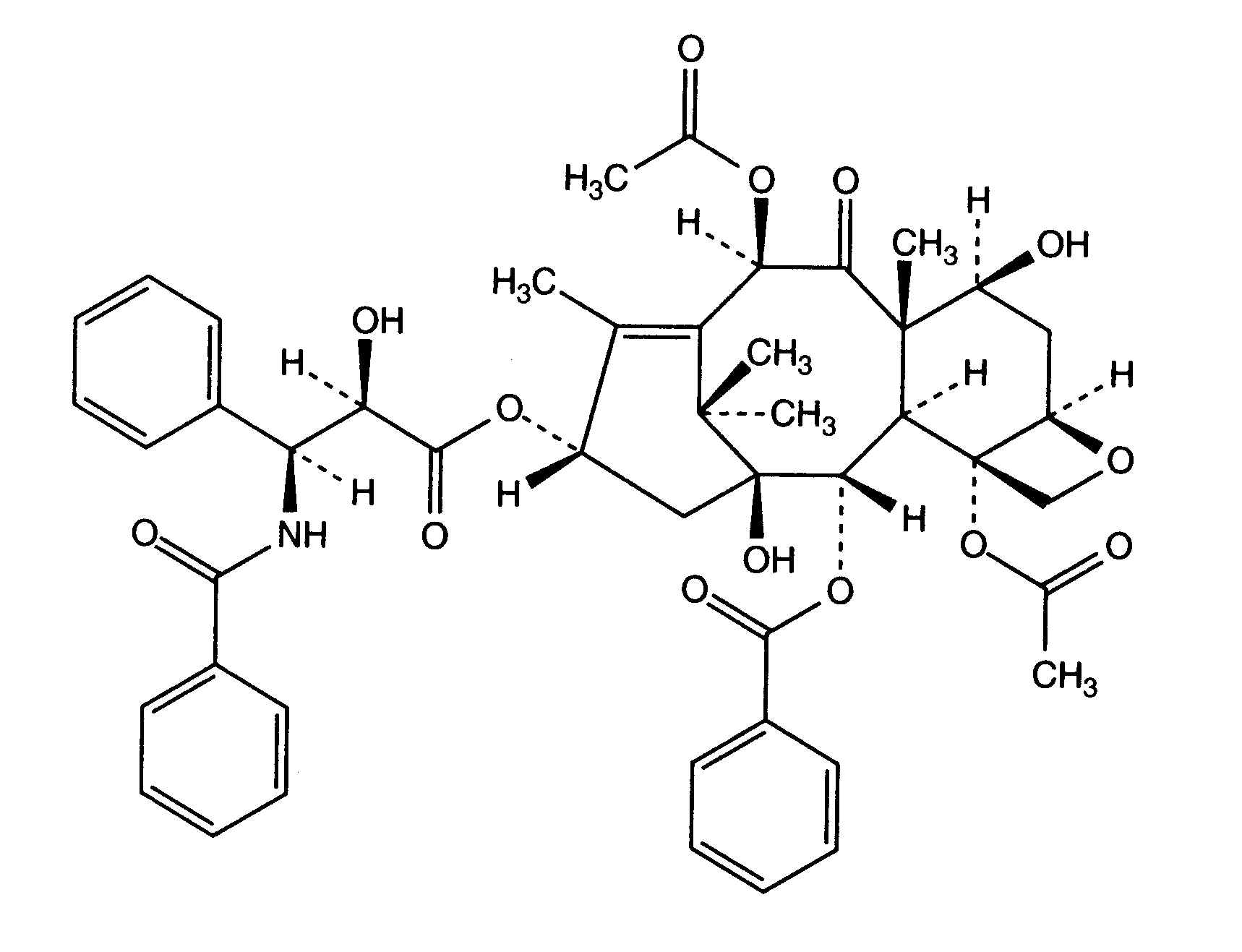
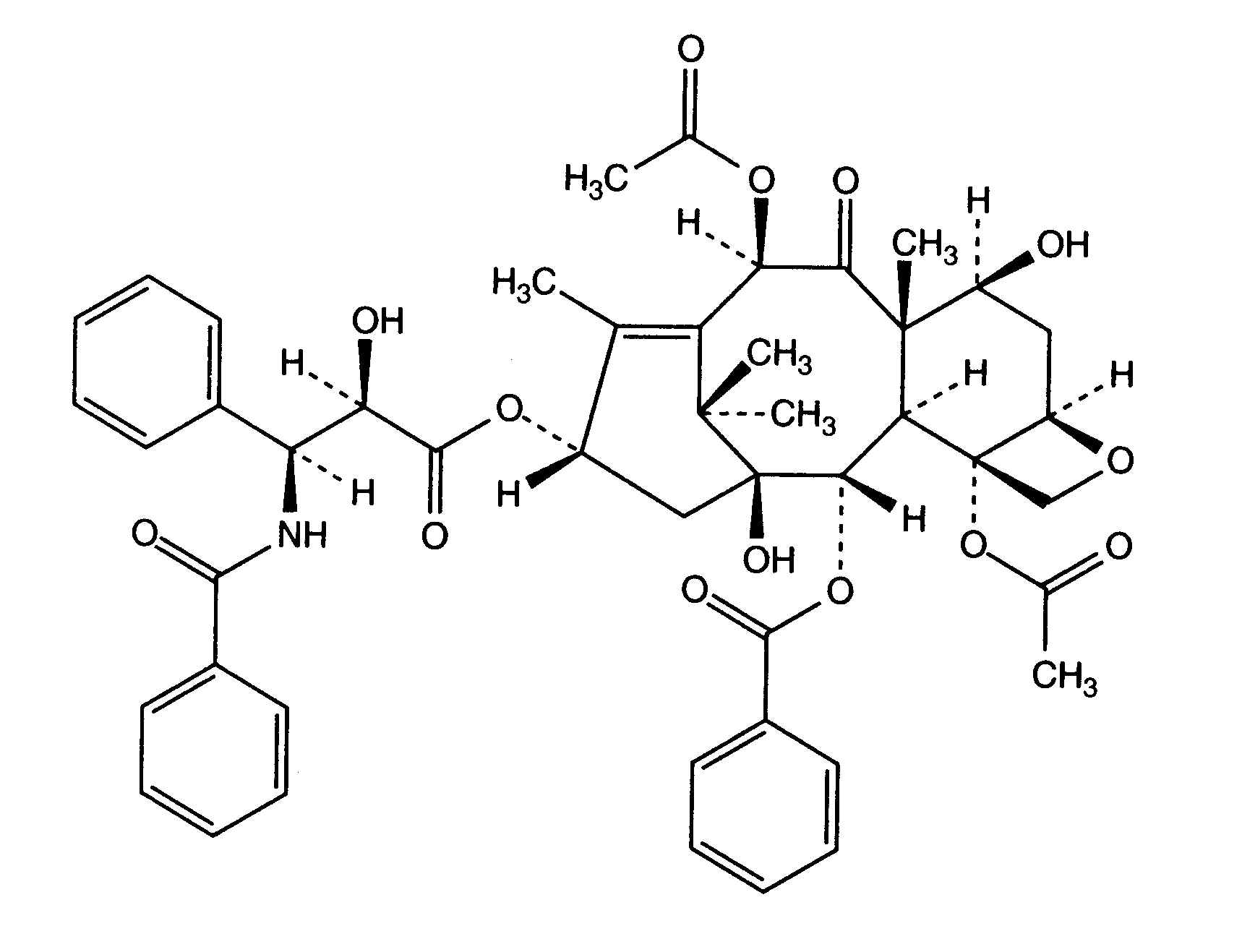
   Kemisk struktur  

Handelsnavn   Handelsnavn     

Handel navne er vejledende og hjælpestoffer sammensætning kan være forskellig afhængigt af landet og laboratorier

Aclipak Malaysia
Acoexcel Mexico
Acupaxil Marokko
Anzatax Forenede Arabiske Emirater, Iran, Malaysia, Marokko, Marokko, New Zealand, Saudi-Arabien, Tunesien, Tyrkiet, Ægypten
Aritaxel Tyskland
Cantaxel Indien
Clitaxel Argentina, Venezuela
Dalys Argentina
Ebetaxel Iran, Marokko, Saudi-Arabien, Tunesien, Tyrkiet, Østrig
Genexol Indien, Iran, Ægypten
Onxol USA
Paclinova Argentina
Paclitaxin Brasilien, Luxemborg, Malaysia, Slovenien
Parexel Brasilien, Colombia, Ecuador, Venezuela
Paxene Danmark, Grækenland, Holland, Irland, Polen, Spanien
Poltaxel Polen
Ribotax Tyskland
Taxol Brasilien, Colombia, Danmark, Forenede Arabiske Emirater, Grækenland, Holland, Iran, Italien, Japan, Malaysia, Marokko, Marokko, New Zealand, Polen, Portugal, Schweiz, Slovenien, Sverige, Tyrkiet, Venezuela, Ægypten, Østrig
Taxomedac Tyskland
Vitax Brasilien, Marokko, Tyrkiet
Administrationsvej   Administrationsvej :Paclitaxel     
Voie
Intravenøs infusion
Kontinuert infusion

  Mentions Légales