Останнє оновлення :
18/03/2026
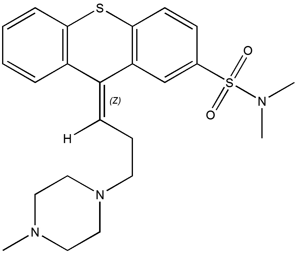
Нейролептик   Thiothixene  
Розчин для перорального застосування
Стабільність фармацевтичних препаратів Стійкість сумішей Фактори, що впливають на стабільність Сумісність Список літератури pdf
   Хімічна структура  

Розчин для перорального застосування
Сумісність   Розчин для перорального застосування   Сумісність : Thiothixene              
explication_incompatibilite_molecules
З'єднання Excipient Список літератури

  Mentions Légales