Poslední aktualizace :
18/03/2026
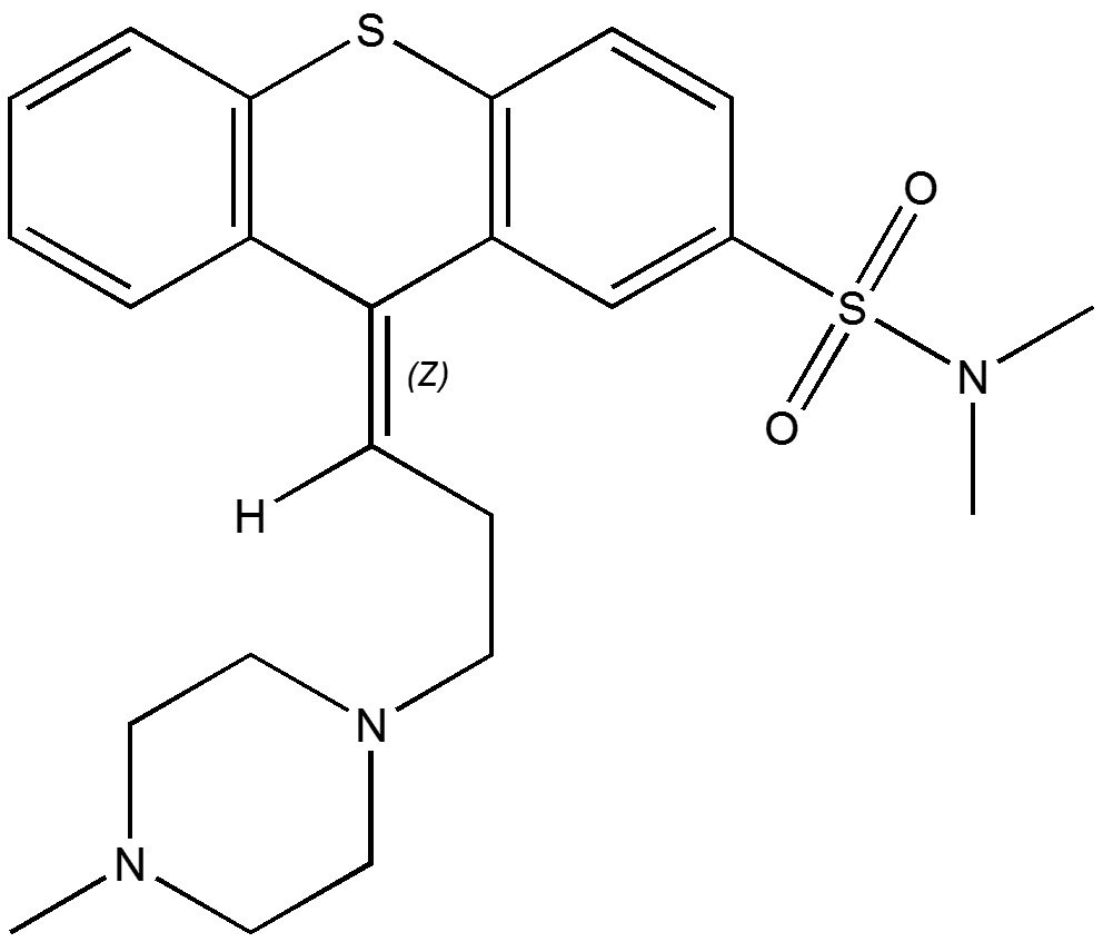
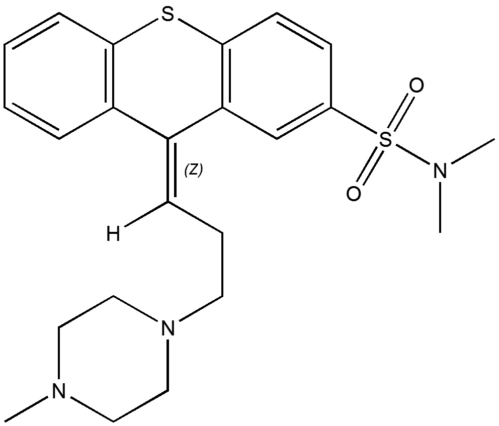
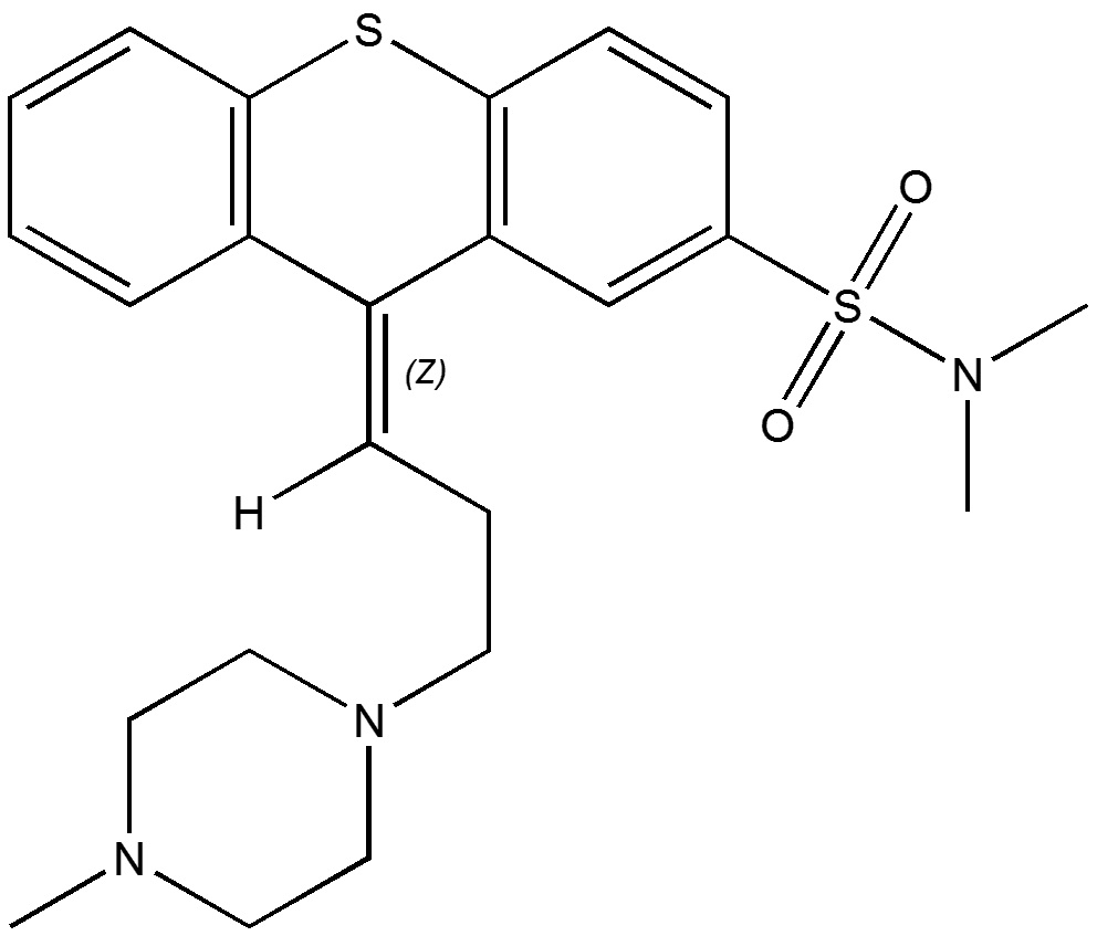
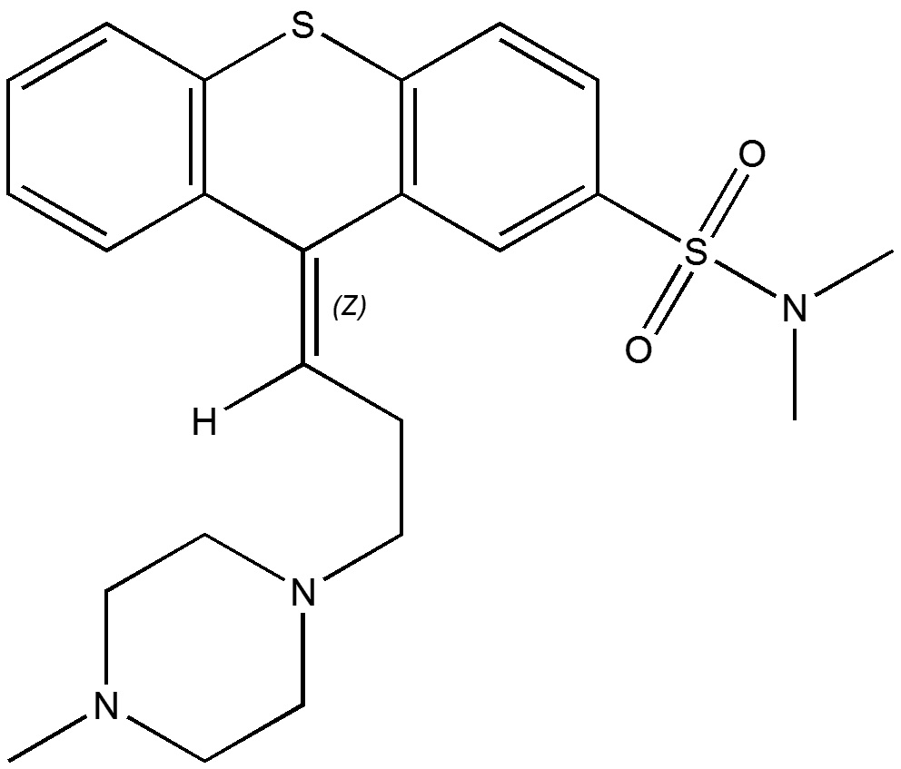
Neuroleptikas   Thiothixene  
Geriamas tirpalas
Stabilumas farmacinių preparatų Mišinių stabilumas Stabilumą lemiantys veiksniai Suderinamumas Bibliografija pdf
   Cheminė sandara  

Geriamas tirpalas
Suderinamumas   Geriamas tirpalas   Suderinamumas : Thiothixene              
explication_incompatibilite_molecules
Molekulė Excipient Nuorodos

  Mentions Légales