Ultimo aggiornamento :
18/03/2026
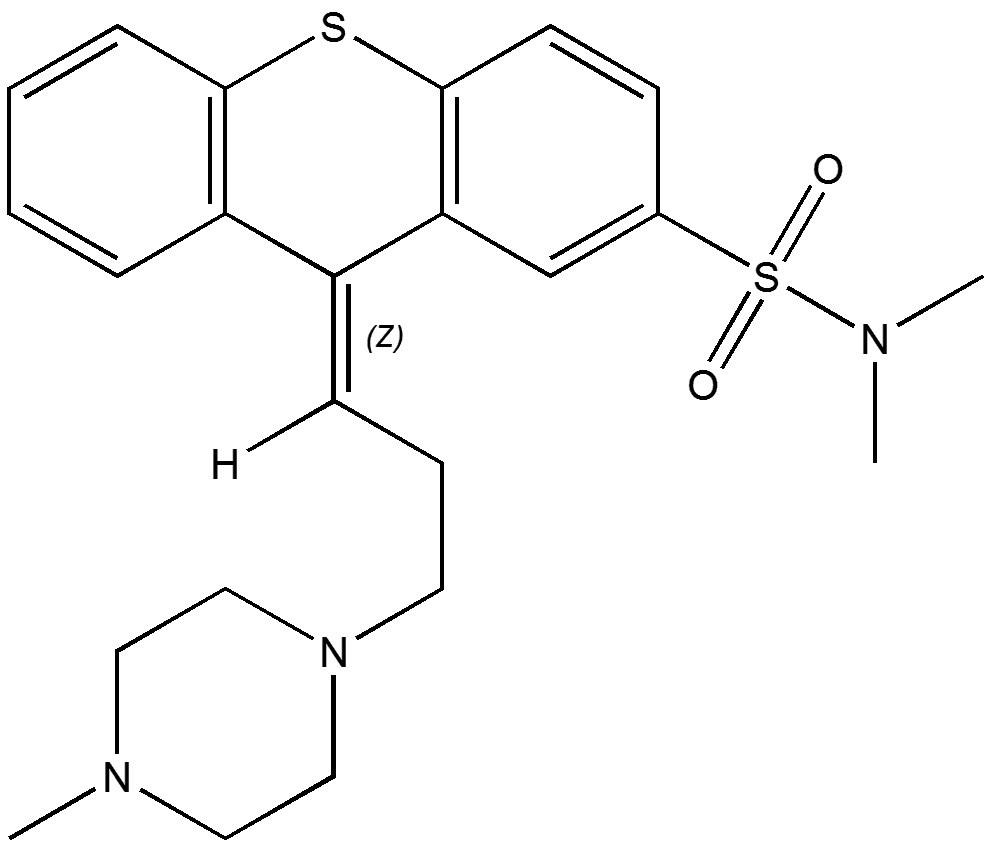
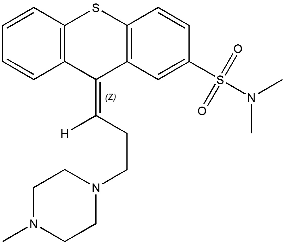
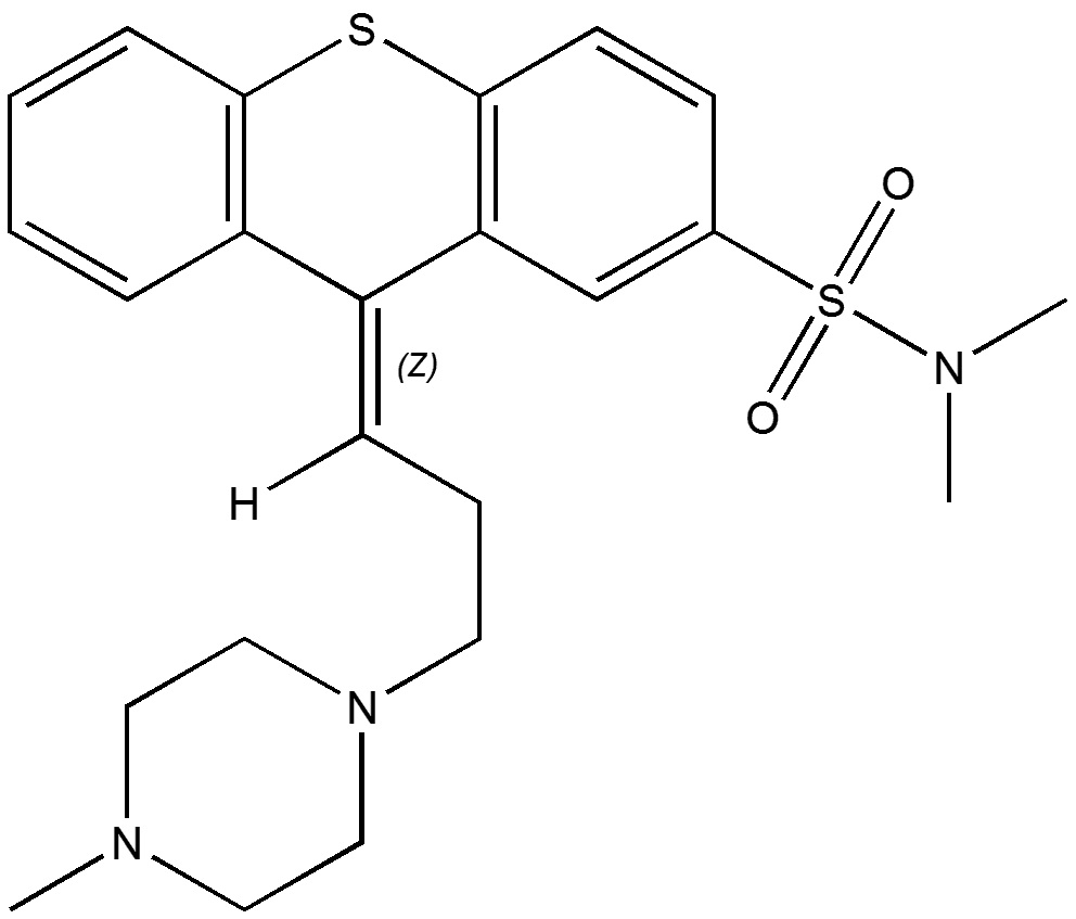
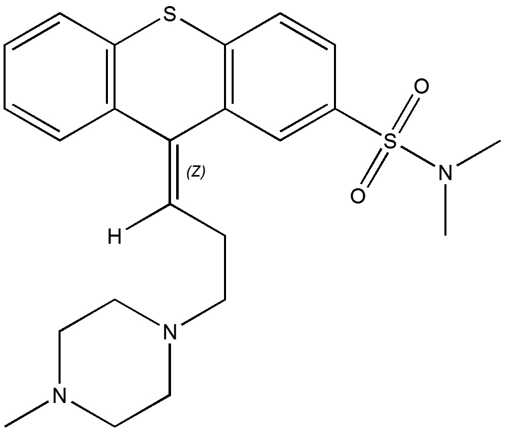
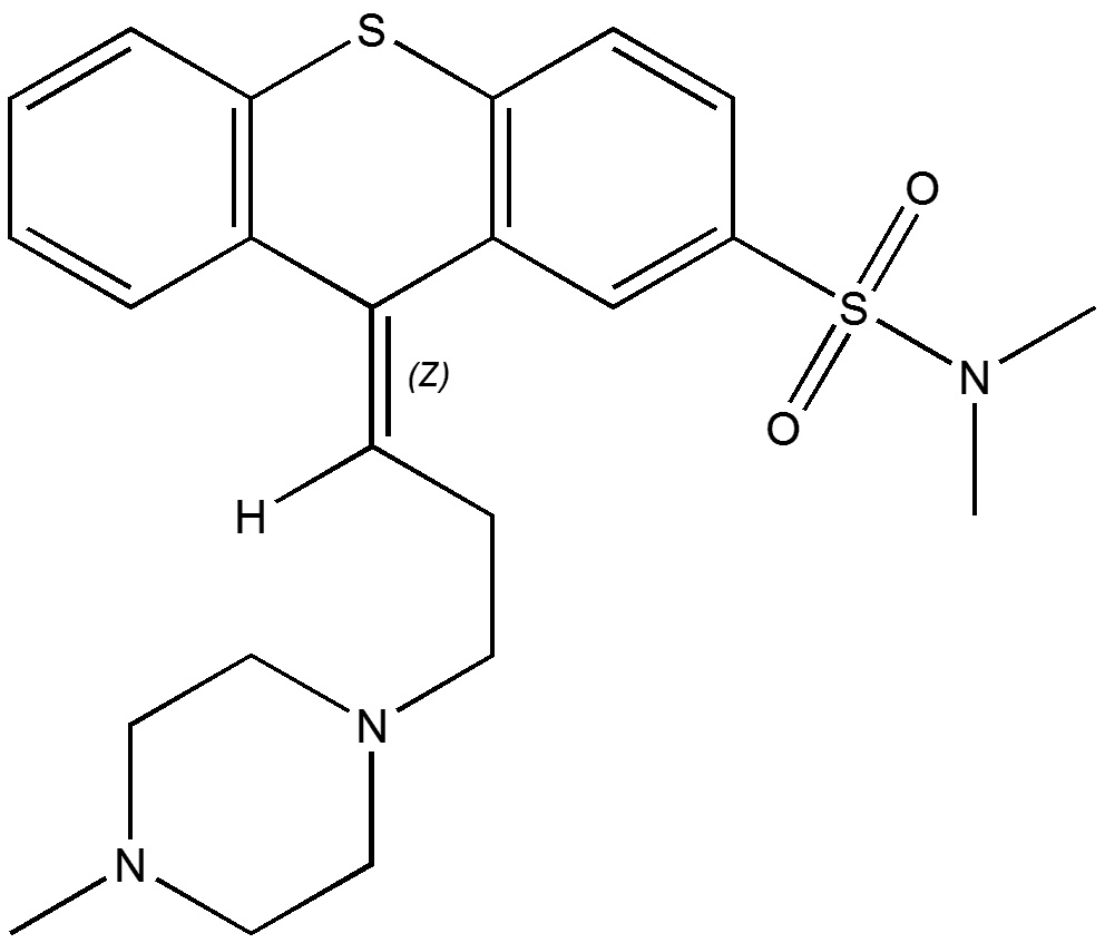
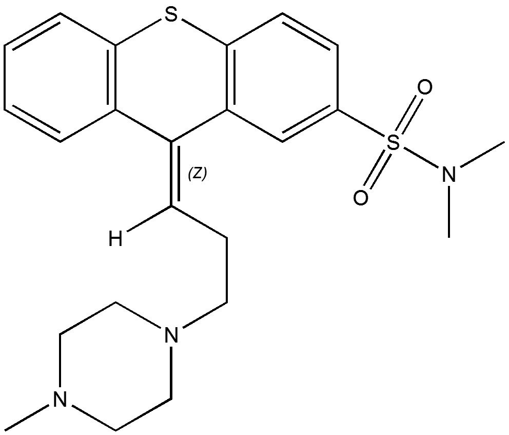
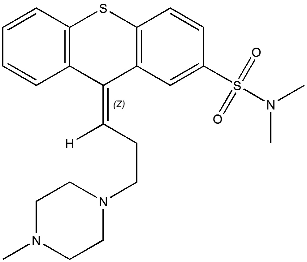
Neurolettico   Thiothixene  
Soluzione orale
Stabilità dei preparati farmaceutici Stabilità in miscela Fattori che influenzano la stabilità Compatibilità Bibliografia pdf
   Struttura chimica  

Soluzione orale
Compatibilità   Soluzione orale   Compatibilità : Thiothixene              
explication_incompatibilite_molecules
Molecola Excipient Bibliografia

  Mentions Légales