Ultimele actualizari :
18/03/2026
Beta-blocant   Carvedilol  
Soluţie orală
Stabilitatea preparatelor farmaceutice Stabilitatea in amestec Factorii care influenteaza stabilitatea Compatibilitate Bibliografie pdf
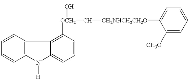
   Formula chimica  

Soluţie orală
Stabilitatea preparatelor farmaceutice   Soluţie orală   Stabilitatea preparatelor farmaceutice : Carvedilol     
Continut Origine Excipient Temperatura Conservare Durata stabilității Bibiografie
sticla praf 100 mg
propilen glicol 40 ml
Glicerină 10 ml
sorbitol 40 ml
aromă de zmeură 0.1 %
Zaharină de sodiu 300 mg
apă distilată >> 100 ml
25°C Ferit de lumina
56 Ziua
3167

sticla praf 100 mg
propilen glicol 40 ml
Glicerină 10 ml
sorbitol 40 ml
aromă de zmeură 0.1 %
Zaharină de sodiu 300 mg
apă distilată >> 100 ml
acid citric 100 mg
25°C Ferit de lumina
56 Ziua
3167

sticla praf 100 mg
propilen glicol 40 ml
Glicerină 10 ml
sorbitol 40 ml
aromă de zmeură 0.1 %
Zaharină de sodiu 300 mg
apă distilată >> 100 ml
40°C Ferit de lumina
56 Ziua
3167

sticla praf 100 mg
propilen glicol 40 ml
Glicerină 10 ml
sorbitol 40 ml
aromă de zmeură 0.1 %
Zaharină de sodiu 300 mg
apă distilată >> 100 ml
acid citric 100 mg
40°C Ferit de lumina
56 Ziua
3167

sticla praf 100 mg
propilen glicol 40 ml
Glicerină 10 ml
sorbitol 40 ml
aromă de zmeură 0.1 %
Zaharină de sodiu 300 mg
apă distilată >> 100 ml
4°C Ferit de lumina
28 Ziua
3167

sticla praf 100 mg
propilen glicol 40 ml
Glicerină 10 ml
sorbitol 40 ml
aromă de zmeură 0.1 %
Zaharină de sodiu 300 mg
apă distilată >> 100 ml
acid citric 100 mg
4°C Ferit de lumina
56 Ziua
3167

Sticla din plastic praf 150 mg
® = ?
SyrSpend SF PH4® >> 150 ml
2-8°C Ferit de lumina
90 Ziua
3910

Sticla din plastic praf 750 mg
® = ?
SyrSpend SF PH4® >> 150 ml
2-8°C Neprecizat
90 Ziua
4177

Sticla din plastic praf 150 mg
® = ?
SyrSpend SF PH4® >> 150 ml
20-25°C Ferit de lumina
90 Ziua
3910

Sticla din plastic Comprimate 18.75 mg
®=? (GlaxoSmithKline)
sorbitol 8.75 g
Apă purificată >> 30 ml
22-26°C Ferit de lumina
56 Ziua
2931

Sticla din plastic Comprimate 18.75 mg
®=? (GlaxoSmithKline)
sorbitol 8.75 g
Apă purificată >> 30 ml
4-8°C Ferit de lumina
56 Ziua
2931


  Mentions Légales