Utolsó frissítés :
05/12/2025
Béta-blokkoló   Carvedilol  
belsőleges oldat
Stabilitása gyógyszerészeti készítmények A keverékek stabilitása Stabilitást befolyásoló tényezők Kompatibilitás Irodalom pdf
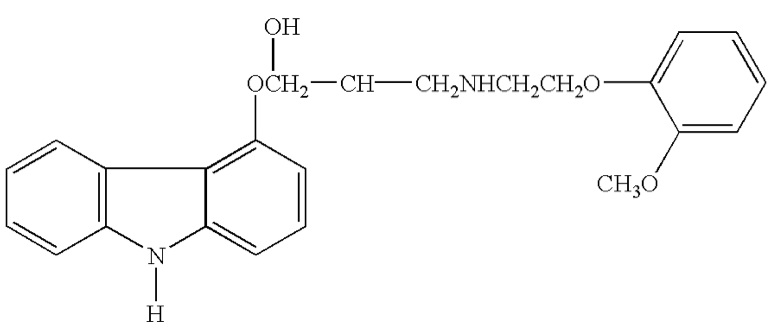
   Kémiai szerkezet   

belsőleges oldat
Stabilitása gyógyszerészeti készítmények   belsőleges oldat   Stabilitása gyógyszerészeti készítmények : Carvedilol     
Csomagolás Origine segédanyag Hőmérséklet Tárolás A stabilitás időtartama Irodalom
Üveg por 100 mg
propilén-glikol 40 ml
Glicerin 10 ml
szorbit 40 ml
Málna ízű 0.1 %
nátrium-szacharin 300 mg
desztillált víz >> 100 ml
25°C Fénytől védve tartandó
56 Nap
3167

Üveg por 100 mg
propilén-glikol 40 ml
Glicerin 10 ml
szorbit 40 ml
Málna ízű 0.1 %
nátrium-szacharin 300 mg
desztillált víz >> 100 ml
citromsav 100 mg
25°C Fénytől védve tartandó
56 Nap
3167

Üveg por 100 mg
propilén-glikol 40 ml
Glicerin 10 ml
szorbit 40 ml
Málna ízű 0.1 %
nátrium-szacharin 300 mg
desztillált víz >> 100 ml
40°C Fénytől védve tartandó
56 Nap
3167

Üveg por 100 mg
propilén-glikol 40 ml
Glicerin 10 ml
szorbit 40 ml
Málna ízű 0.1 %
nátrium-szacharin 300 mg
desztillált víz >> 100 ml
citromsav 100 mg
40°C Fénytől védve tartandó
56 Nap
3167

Üveg por 100 mg
propilén-glikol 40 ml
Glicerin 10 ml
szorbit 40 ml
Málna ízű 0.1 %
nátrium-szacharin 300 mg
desztillált víz >> 100 ml
4°C Fénytől védve tartandó
28 Nap
3167

Üveg por 100 mg
propilén-glikol 40 ml
Glicerin 10 ml
szorbit 40 ml
Málna ízű 0.1 %
nátrium-szacharin 300 mg
desztillált víz >> 100 ml
citromsav 100 mg
4°C Fénytől védve tartandó
56 Nap
3167

műanyag flakon por 150 mg
® = ?
SyrSpend SF PH4® >> 150 ml
2-8°C Fénytől védve tartandó
90 Nap
3910

műanyag flakon por 750 mg
® = ?
SyrSpend SF PH4® >> 150 ml
2-8°C Nincs meghatározva
90 Nap
4177

műanyag flakon por 150 mg
® = ?
SyrSpend SF PH4® >> 150 ml
20-25°C Fénytől védve tartandó
90 Nap
3910

műanyag flakon tabletta 18.75 mg
®=? (GlaxoSmithKline)
szorbit 8.75 g
Tisztított víz >> 30 ml
22-26°C Fénytől védve tartandó
56 Nap
2931

műanyag flakon tabletta 18.75 mg
®=? (GlaxoSmithKline)
szorbit 8.75 g
Tisztított víz >> 30 ml
4-8°C Fénytől védve tartandó
56 Nap
2931


  Mentions Légales