Ostatnia aktualizacja :
18/03/2026
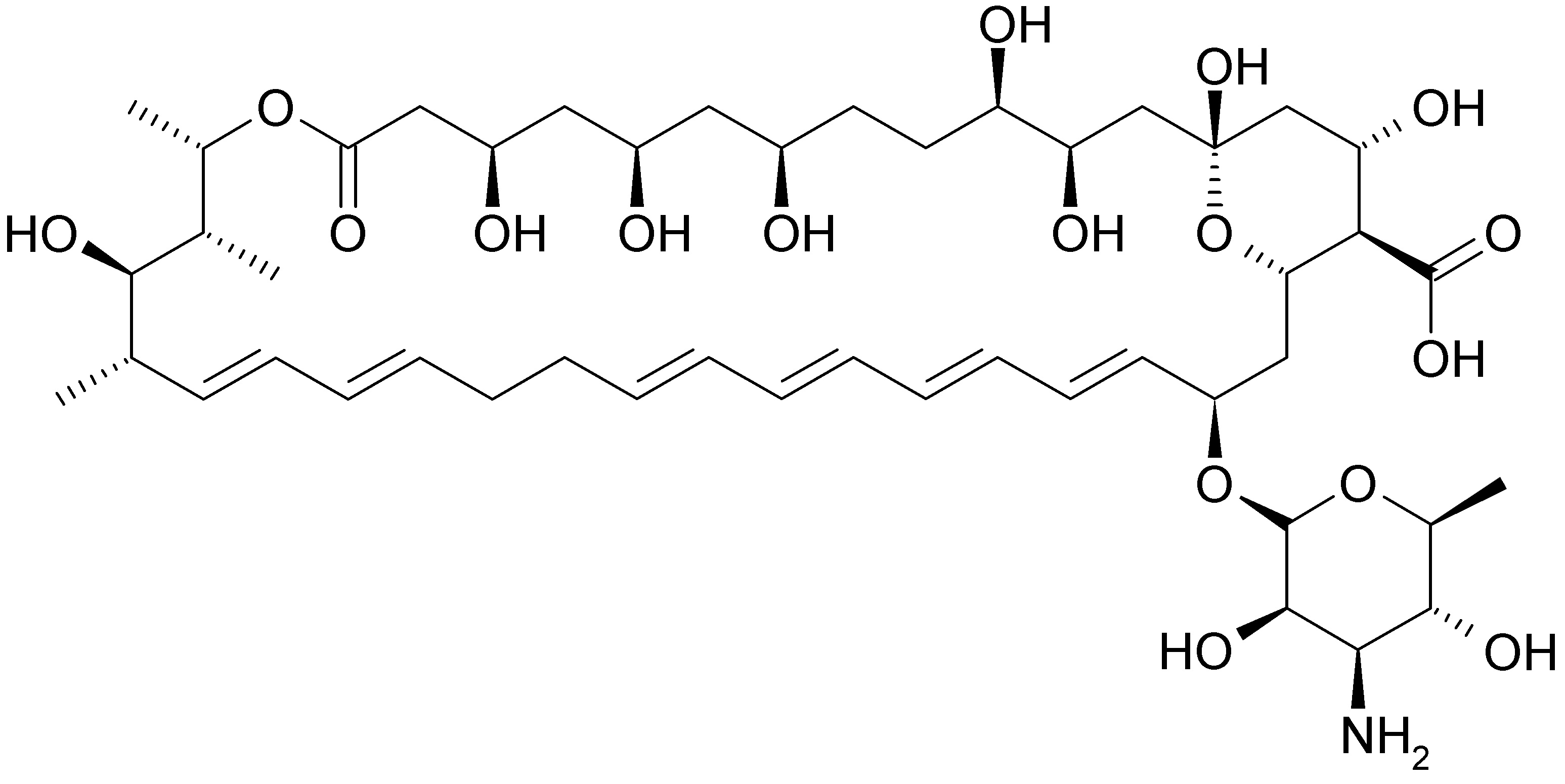
Lek przeciwgrzybiczny   Nystatin  
Roztwór do płukania gardła
Stabilność preparatów farmaceutycznych Trwałość w mieszaninie Czynnik wpływający na trwałość Zgodność Bibliografia pdf
   Struktura chemiczna  

Roztwór do płukania gardła
Bibliografia   Roztwór do płukania gardła   Bibliografia : Nystatin  
typ publikacja
2729 Czasopismo Vincent I, Schmit B, Houze S, benhaiem N, Jacques L, Taburet AM.
Bains de bouche antifongiques: études de stabilité.
J Pharm Clin 1995 ; 14, 2: 106-111.
2820 Czasopismo Groeschke J, Solassol I, Bressolle F, Pinguet F.
Stability of amphotericin B and nystatin in antifungal mouthrinses containing sodium hydrogen carbonate
J Pharm Biomed Anal 2006 ; 42: 362-366.

  Mentions Légales