fermer
Ultimo aggiornamento :
17/12/2025
Infostab
Elenco delle molecole
Elenchi sommari
Cerca compatibilità
Tabella di compatibilità del sito Y
Bibliografia
Le squadre di ricerca
valistab
poster
Connessioni
sponsor
Autori
Manuale d’uso
Bollettino
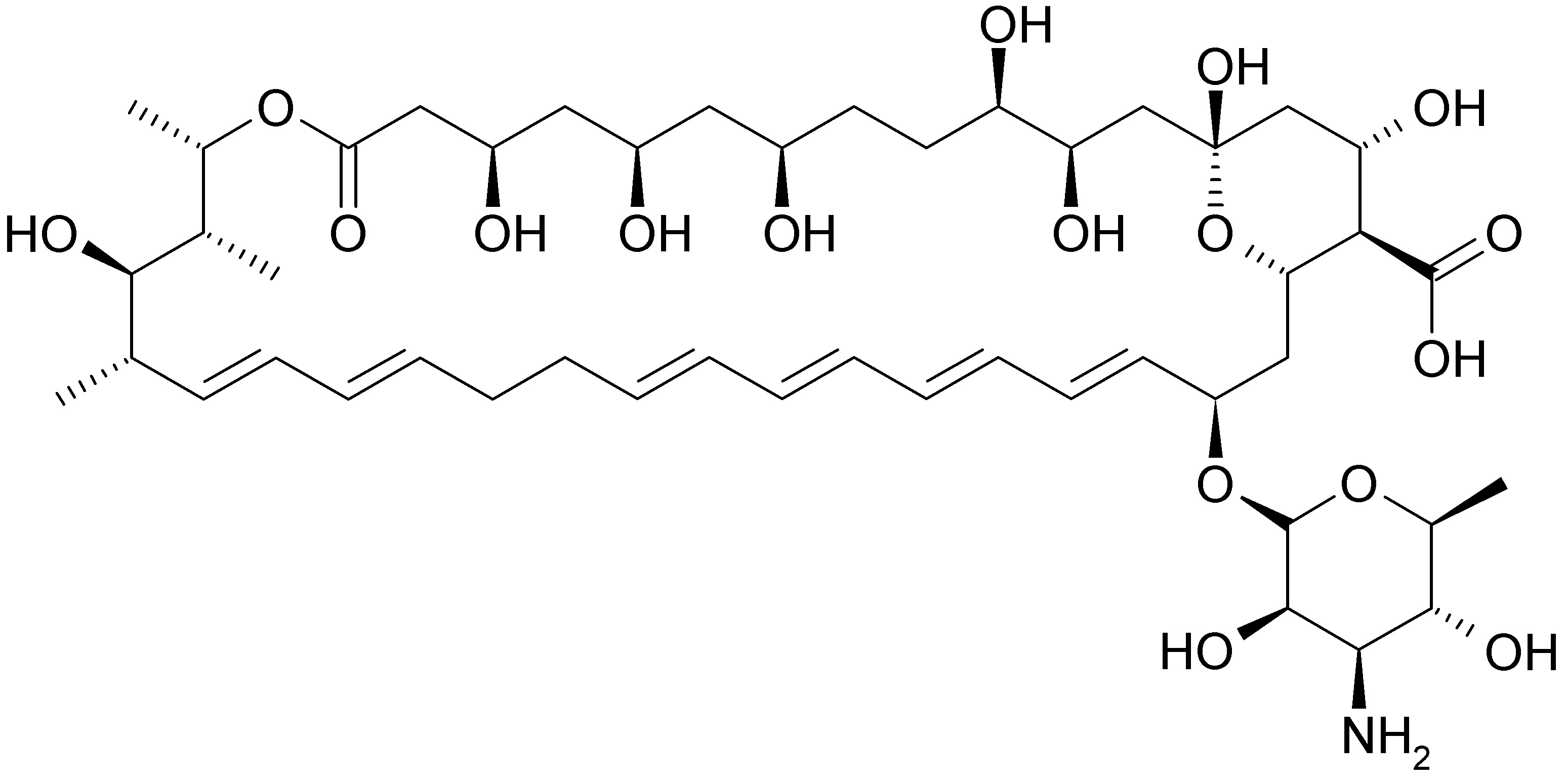
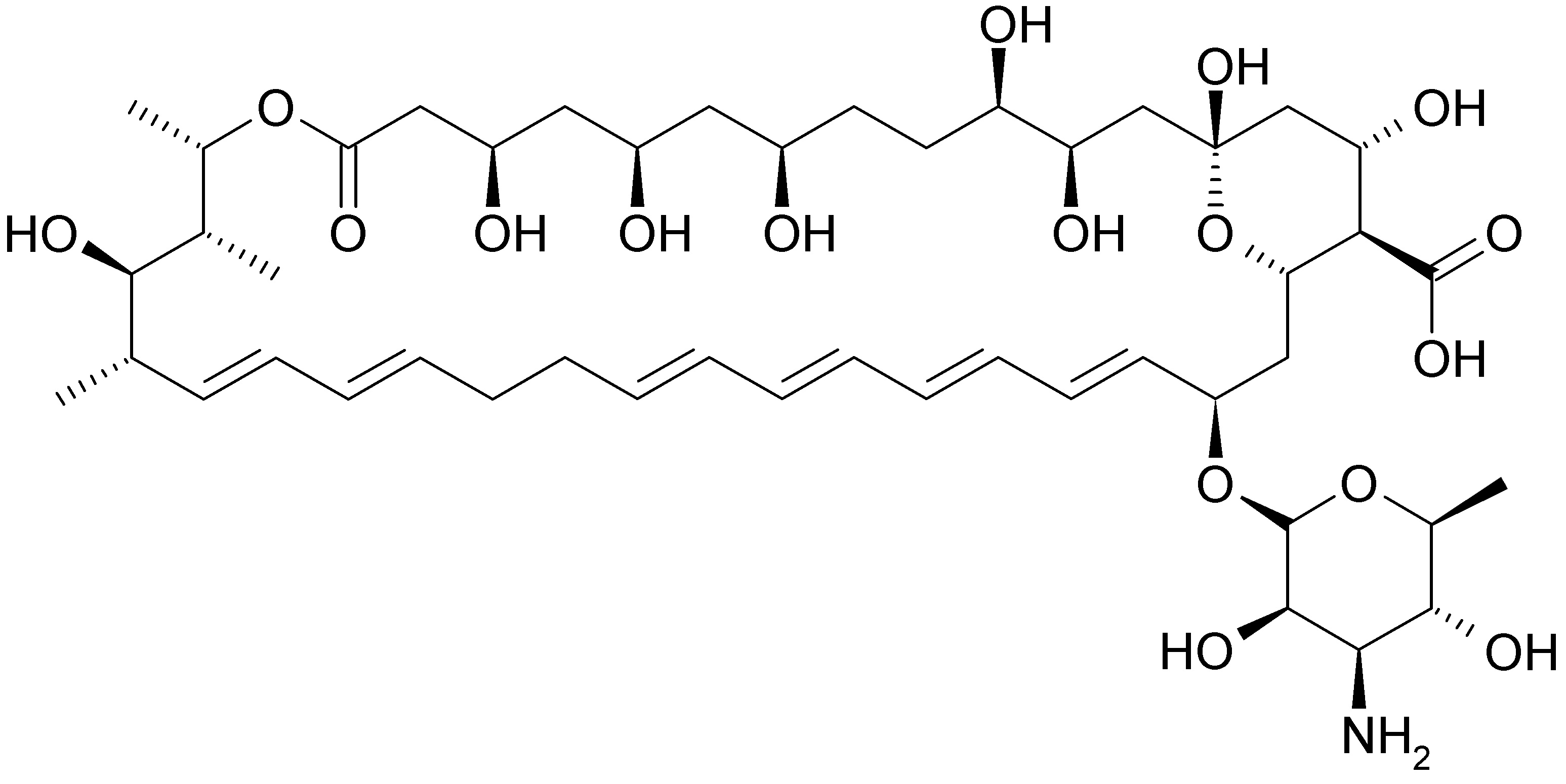
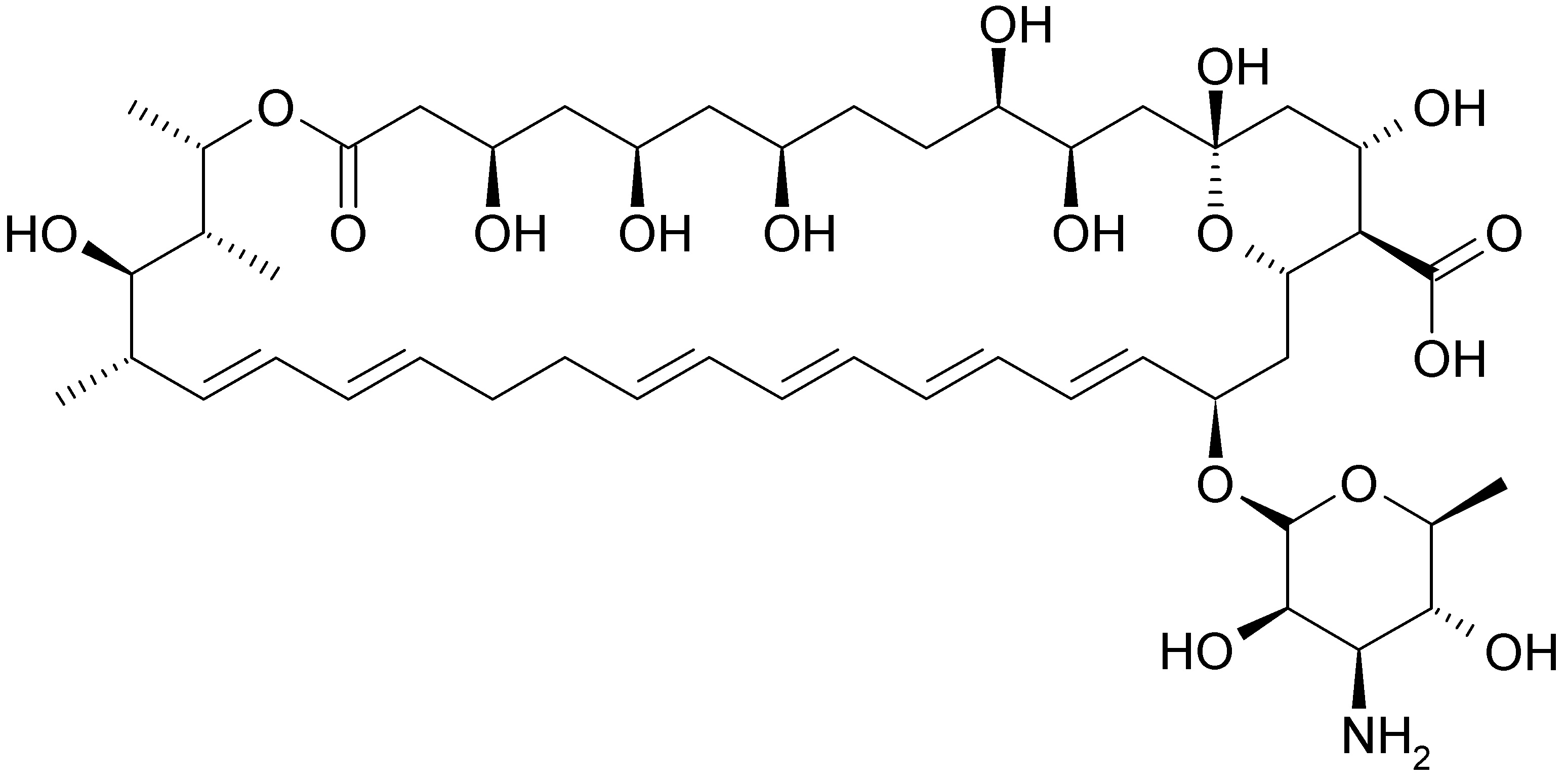
Nystatin
Struttura chimica
Bibliografia : Nystatin
tipo
pubblicazione
2729
Rivista
Vincent I, Schmit B, Houze S, benhaiem N, Jacques L, Taburet AM.
Bains de bouche antifongiques: études de stabilité.
J Pharm Clin 1995 ; 14, 2: 106-111.
2820
Rivista
Groeschke J, Solassol I, Bressolle F, Pinguet F.
Stability of amphotericin B and nystatin in antifungal mouthrinses containing sodium hydrogen carbonate
J Pharm Biomed Anal 2006 ; 42: 362-366.
Mentions Légales