Poslední aktualizace :
18/03/2026
Priešgrybelinis vaistas   Nystatin  
Skystis burnai skalauti
Stabilumas farmacinių preparatų Mišinių stabilumas Stabilumą lemiantys veiksniai Suderinamumas Bibliografija pdf
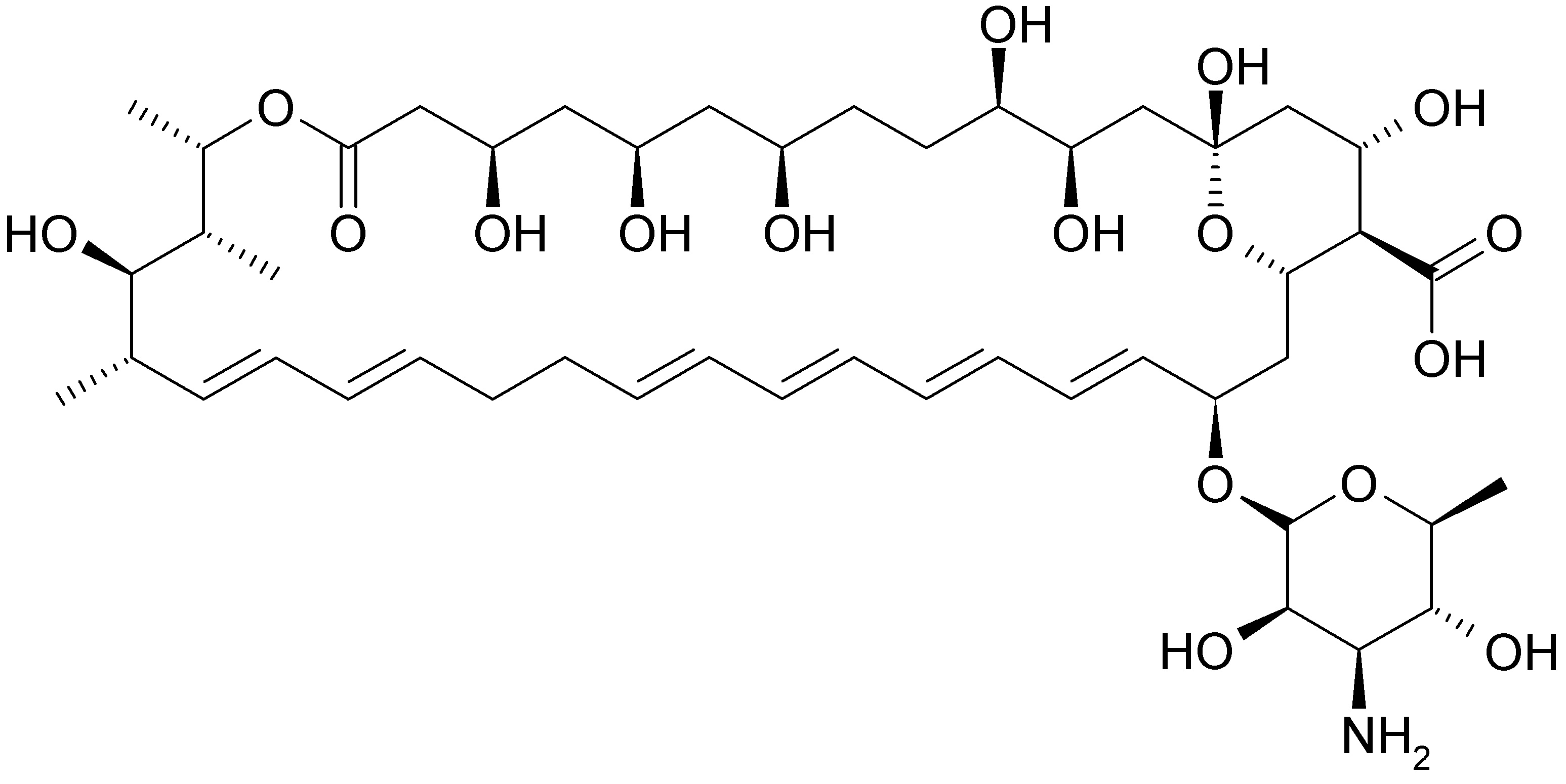
   Cheminė sandara  

Skystis burnai skalauti
Bibliografija   Skystis burnai skalauti   Bibliografija : Nystatin  
tipas leidinys
2729 Žurnalas Vincent I, Schmit B, Houze S, benhaiem N, Jacques L, Taburet AM.
Bains de bouche antifongiques: études de stabilité.
J Pharm Clin 1995 ; 14, 2: 106-111.
2820 Žurnalas Groeschke J, Solassol I, Bressolle F, Pinguet F.
Stability of amphotericin B and nystatin in antifungal mouthrinses containing sodium hydrogen carbonate
J Pharm Biomed Anal 2006 ; 42: 362-366.

  Mentions Légales