Letztes “update” :
18/03/2026
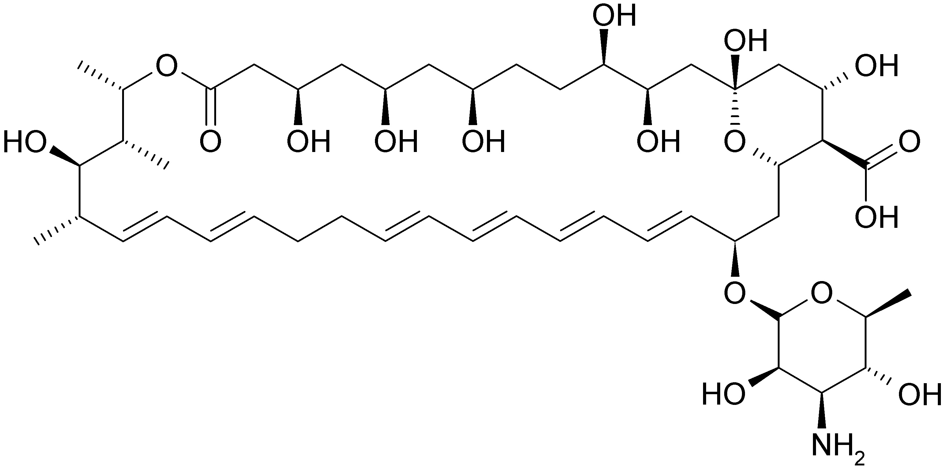
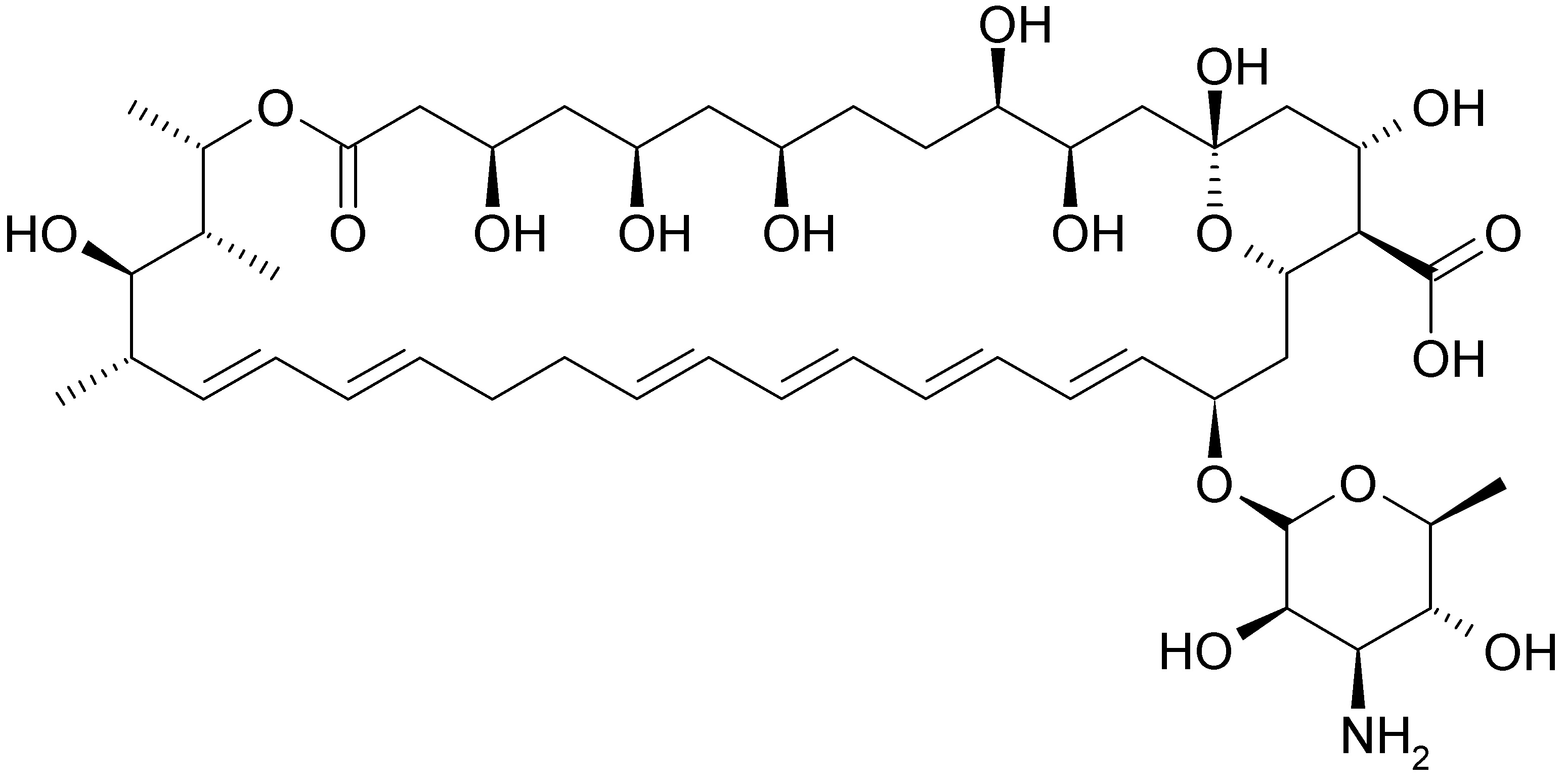
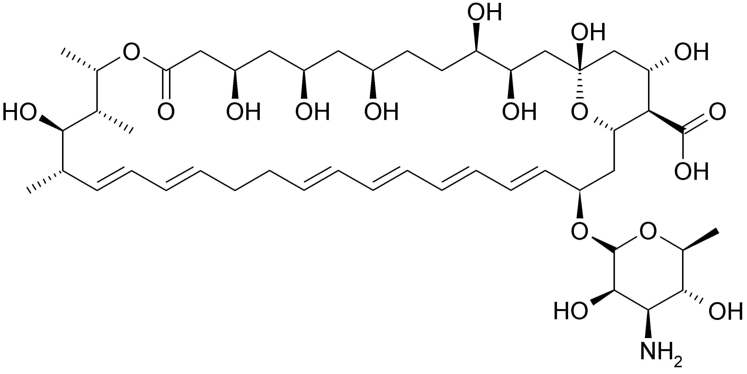
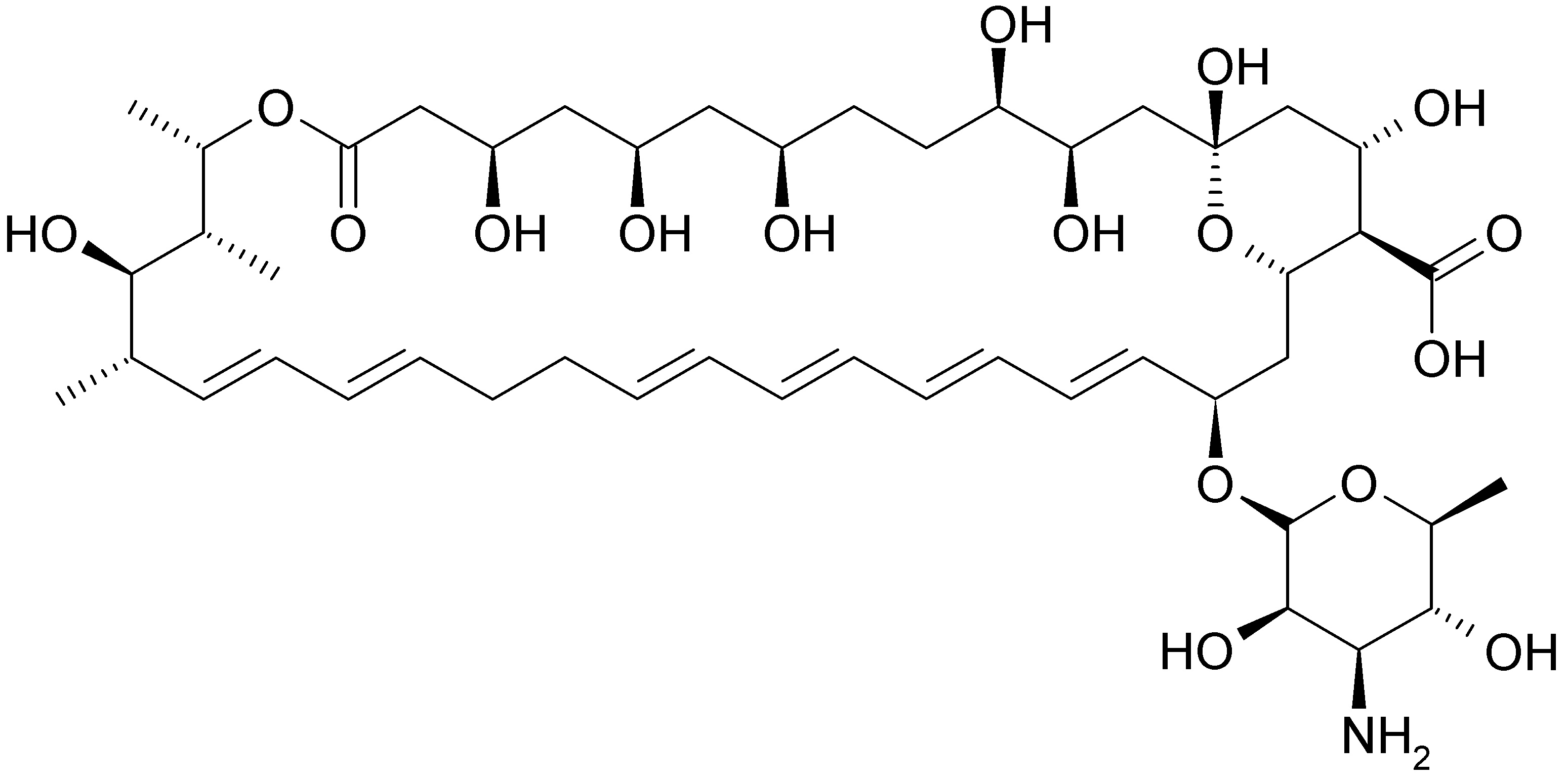
Antifungoid   Nystatin  
Mundspüllösung
Stabilität von pharmazeutischen Präparaten Gemengestabilität Stabilitätbeeinflussende Faktoren Kompatibilitäten Literaturverzeichnis pdf
   Chemische Struktur  

Mundspüllösung
Literaturverzeichnis   Mundspüllösung   Literaturverzeichnis : Nystatin  
Typ Veröffentlichung
2729 Zeitung Vincent I, Schmit B, Houze S, benhaiem N, Jacques L, Taburet AM.
Bains de bouche antifongiques: études de stabilité.
J Pharm Clin 1995 ; 14, 2: 106-111.
2820 Zeitung Groeschke J, Solassol I, Bressolle F, Pinguet F.
Stability of amphotericin B and nystatin in antifungal mouthrinses containing sodium hydrogen carbonate
J Pharm Biomed Anal 2006 ; 42: 362-366.

  Mentions Légales