Zadnji put ažurirano :
18/03/2026
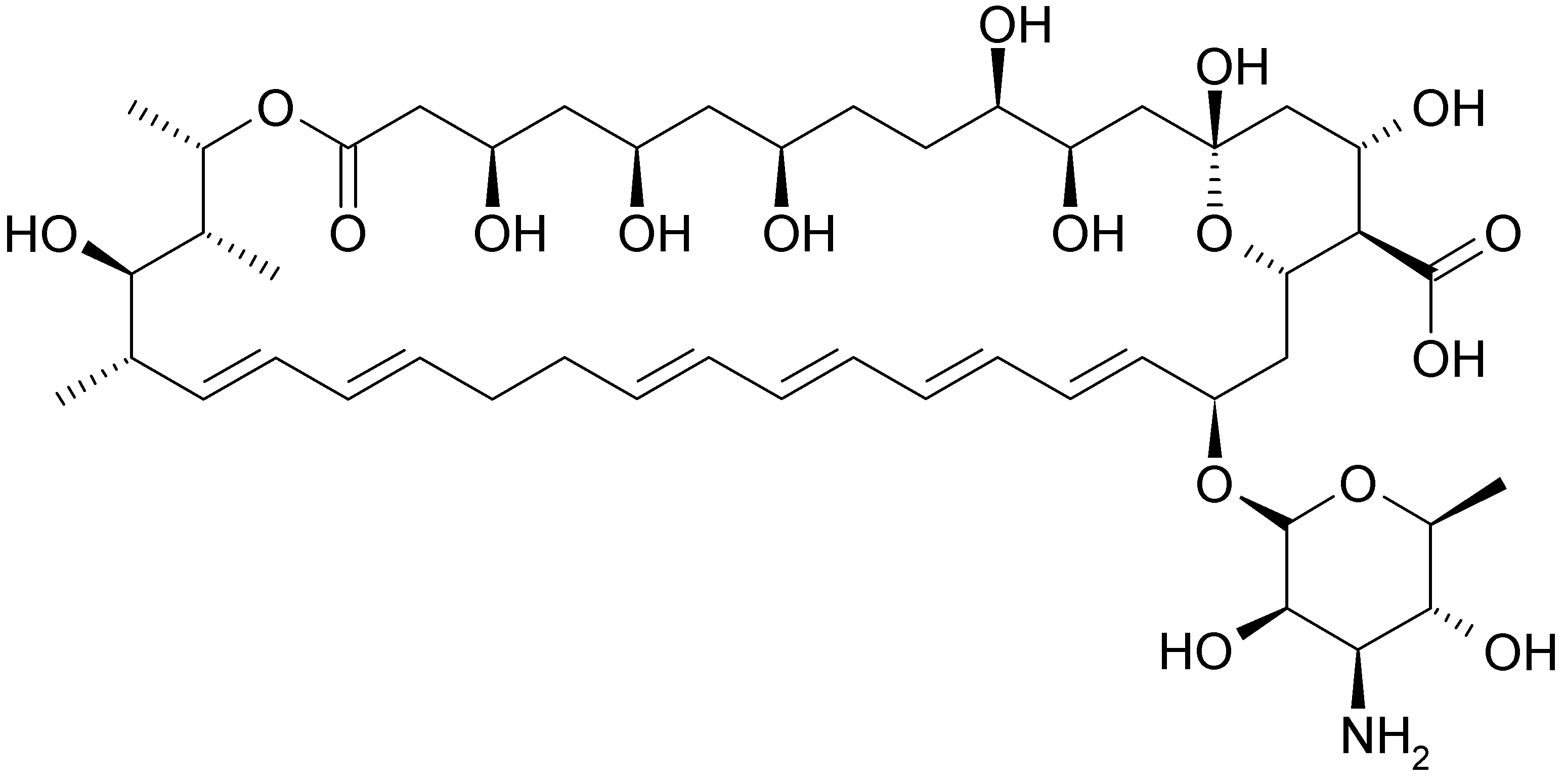
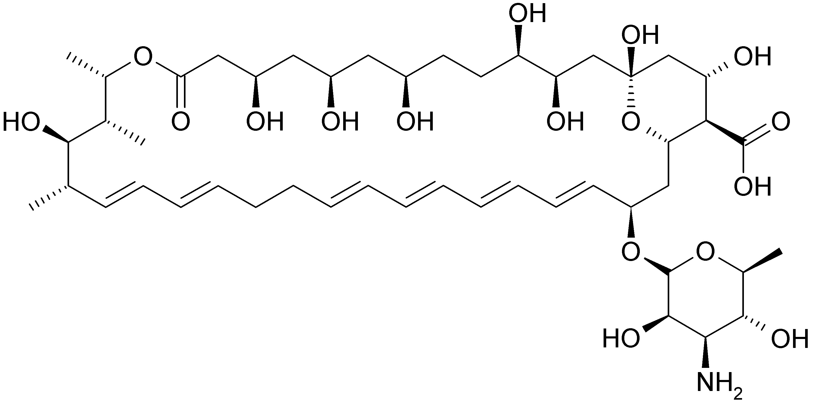
antifungicid   Nystatin  
otopina za ispiranje usne šupljine
Stabilnost farmaceutskih pripravaka Stabilnost mješavine Stabilizacijski faktor Kompatibilnosti Bibliografija pdf
   Kemijska struktura  

otopina za ispiranje usne šupljine
Bibliografija   otopina za ispiranje usne šupljine   Bibliografija : Nystatin  
Vrsta Publikacija
2729 Časopis Vincent I, Schmit B, Houze S, benhaiem N, Jacques L, Taburet AM.
Bains de bouche antifongiques: études de stabilité.
J Pharm Clin 1995 ; 14, 2: 106-111.
2820 Časopis Groeschke J, Solassol I, Bressolle F, Pinguet F.
Stability of amphotericin B and nystatin in antifungal mouthrinses containing sodium hydrogen carbonate
J Pharm Biomed Anal 2006 ; 42: 362-366.

  Mentions Légales