zadnja posodobitev :
05/12/2025
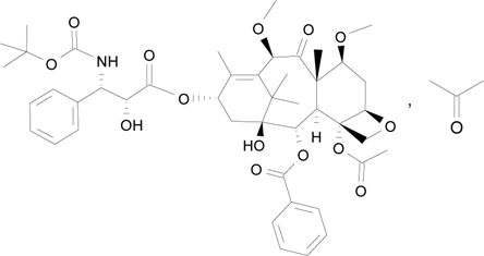
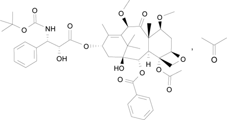
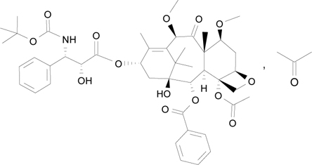
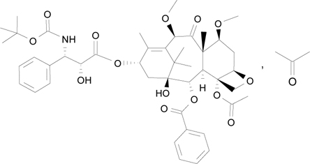
rak drog   Cabazitaxel  
Brizgalka
Stabilnost raztopine Stabilnost mešanice Faktorji, ki vplivajo na stabilnost Kompatibilnost način aplikacije Viri pdf
   Kemična formula  

Lastniško ime   Lastniško ime     

Sestava pomožnih snovi je med paralelami lahko različna

Cabazil Argentina
Cabazitaxel Danska, Finska, Nemčija, Španija
Cecalter Argentina
Jevtana Argentina, Avstralija, Belgija, Brazilija, Čile, Danska, Ekvador, Finska, Francija, Islandija, Italija, Kanada, Kolumbija, Malezija, Mehika, Nemčija, Norveška, Peru, Romunija, Slovenija, Španija, Švica, Turčija, Velika Britanija, Združene države Amerike
Proazitax Brazilija
Xatiza Čile
Zitat Argentina
način aplikacije   način aplikacije :Cabazitaxel     
Voie
Intravenska infuzija

  Mentions Légales