Siste oppdatering :
18/03/2026
kreft narkotika   Cabazitaxel  
Injeksjon
Oppløsningsstabilitet Stabilitet i blandinger Faktorer som påvirker stabiliteten Kompatibilitet Administrasjonsmåte Referanser pdf
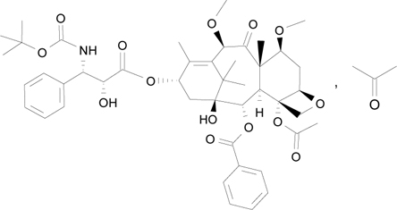
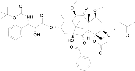
   Kjemisk struktur  

Handelsnavn   Handelsnavn     

Handelsnavn er veiledende og sammensetning av hjelpestoffer kan være forskjellig avhengig av land og produsent

Cabazil Argentina
Cabazitaxel Danmark, Finland, Spania, Tyskland
Cecalter Argentina
Jevtana Argentina, Australia, Belgia, Brasil, Canada, Chile, Colombia, Danmark, Ecuador, Finland, Frankrike, Island, Italia, Malaysia, Mexico, Norge, Peru, Romania, Slovenia, Spania, Storbritannia, Sveits, Tyrkia, Tyskland, USA
Proazitax Brasil
Xatiza Chile
Zitat Argentina
Administrasjonsmåte   Administrasjonsmåte :Cabazitaxel     
Voie
Intravenøs infusjon

  Mentions Légales