Última actualização :
18/03/2026
droga contra o câncer   Cabazitaxel  
injetável
Estabilidade em soluções simples Estabilidade em misturas Factores que afectam a sua estabilidade Compatibilidade Método de administração Bibliografía pdf
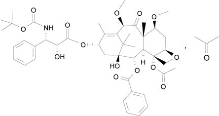
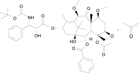
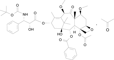
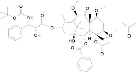
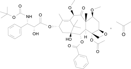
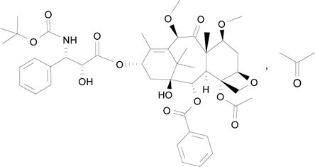
   estrutura química  

Nomes comerciais nos diversos países   Nomes comerciais nos diversos países     

OS NOMES COMERCIAIS SÃO INDICATIVOS E OS EXCIPIENTES DA FORMULAÇÃO PODEM SER DIFERENTES CONFORME O PAÍS E FABRICANTE.

Cabazil Argentina
Cabazitaxel Alemanha, Dinamarca, Espanha, Finlandia
Cecalter Argentina
Jevtana Alemanha, Argentina, Australia, Bélgica, Brasil, Canadá, Chilli, Colômbia, Dinamarca, Equator, Eslovenia, Espanha, Estados Unidos de América, Finlandia, França, Gran-bretanha, Islandia, Itália, Malásia, México, Noruega, Peru, Romènia, Suicia, Turquia
Proazitax Brasil
Xatiza Chilli
Zitat Argentina
Método de administração   Método de administração :Cabazitaxel     
Voie
perfusão intravenosa

  Mentions Légales