Utolsó frissítés :
18/03/2026
rákellenes gyógyszer   Cabazitaxel  
Injekció
Az oldatok stabilitása A keverékek stabilitása Stabilitást befolyásoló tényezők Kompatibilitás Az alkalmazás módja Irodalom pdf
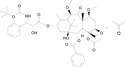
   Kémiai szerkezet   

Kereskedelmi név   Kereskedelmi név     

A kereskedelmi név meghatározó jelentőségű: a készítmények összetétele országonként, előállítóként eltérő lehet

Cabazil Argentína
Cabazitaxel Dánia, Finnország, Németország, Spanyolország
Cecalter Argentína
Jevtana Amerikai Egyesült Államok, Argentína, Ausztrália, Belgium, Brazília, Chile, Colombia, Dánia, Ecuador, Finnország, Franciaország, Izland, Kanada, Malaysia, Mexikó, Nagy-Britannia, Németország, Norvégia, Olaszország, Peru, Románia, Spanyolország, Svájc, Szlovénia, Törökország
Proazitax Brazília
Xatiza Chile
Zitat Argentína
Az alkalmazás módja   Az alkalmazás módja :Cabazitaxel     
Voie
Intravénás infúzió

  Mentions Légales