آخر تحديث :
18/03/2026
المضادة للسرطان المخدرات   Cabazitaxel  
حقن
الاستقرار في حلول استقرار مخاليط العوامل التي تؤثر على الاستقرار التوافق طريقة التعاطي مراجع pdf
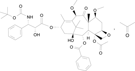
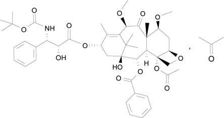
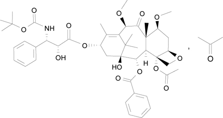
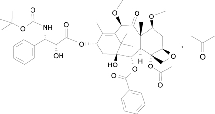
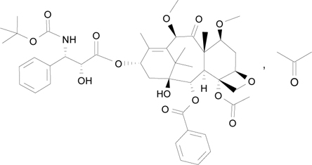
   التركيب الكيميائي  

حجز الاسم التجاري   حجز الاسم التجاري     

تحذير الأسماء التجاريه المختلفه قد تحتوي علي محتوي إضافات مختلفة حسب الدوله و المعمل

Cabazil الأرجنتين
Cabazitaxel ألمانيا, إسبانيا, الدنمارك, فنلندا
Cecalter الأرجنتين
Jevtana أستراليا, ألمانيا, أيسلندا, إسبانيا, إيطاليا, الأرجنتين, الإكوادور, البرازيل, الدنمارك, المكسيك, النرويج, الولايات المتحدة, بريطانيا العظمي, بلجيكا, بيرو, تركيا, تشيلي, رومانيا, سلوفينيا, سويسرا, فرنسا, فنلندا, كندا, كولومبيا, ماليزيا
Proazitax البرازيل
Xatiza تشيلي
Zitat الأرجنتين
طريقة التعاطي   طريقة التعاطي :Cabazitaxel     
Voie
الحقن الوريدي   المستمر

  Mentions Légales