zadnja posodobitev :
05/12/2025
Antibiotik   Amoxicillin sodium / clavulanic acid  
Peroralna raztopina
Brizgalka
Stabilnost farmacevtskih preparatov Stabilnost mešanice Faktorji, ki vplivajo na stabilnost Kompatibilnost Viri pdf
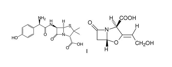
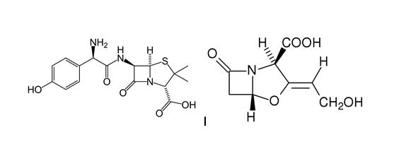
   Kemična formula  

Peroralna raztopina
Kompatibilnost   Peroralna raztopina   Kompatibilnost : Amoxicillin sodium / clavulanic acid              
ni podatka

  Mentions Légales