最新更新 :
18/03/2026
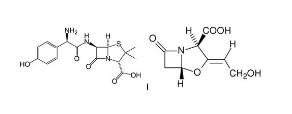
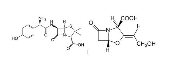
抗生素   Amoxicillin sodium / clavulanic acid  
口服剂
注射液
制剂的稳定性 混合物稳定性 影响稳定性的因素 兼容性 引用文献 PDF
   化学式  

口服剂
兼容性   口服剂   兼容性 : Amoxicillin sodium / clavulanic acid              
无数据

  Mentions Légales