Poslední aktualizace :
18/03/2026
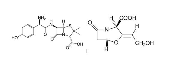
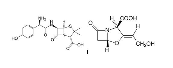
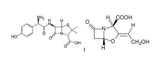
Antibiotikas   Amoxicillin sodium / clavulanic acid  
Geriamas tirpalas
Įpurškimas
Stabilumas farmacinių preparatų Mišinių stabilumas Stabilumą lemiantys veiksniai Suderinamumas Bibliografija pdf
   Cheminė sandara  

Geriamas tirpalas
Suderinamumas   Geriamas tirpalas   Suderinamumas : Amoxicillin sodium / clavulanic acid              
Nėra duomenų

  Mentions Légales