Ultimele actualizari :
18/03/2026
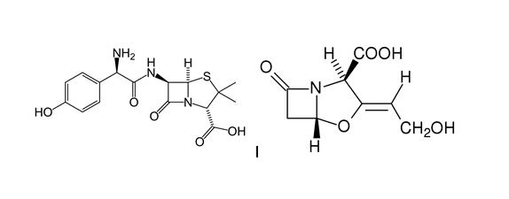
Antibiotic   Amoxicillin sodium / clavulanic acid  
Soluţie orală
Injectabil
Stabilitatea preparatelor farmaceutice Stabilitatea in amestec Factorii care influenteaza stabilitatea Compatibilitate Bibliografie pdf
   Formula chimica  

Soluţie orală
Compatibilitate   Soluţie orală   Compatibilitate : Amoxicillin sodium / clavulanic acid              
Absenta de date

  Mentions Légales