Last update :
18/03/2026
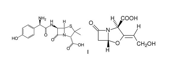
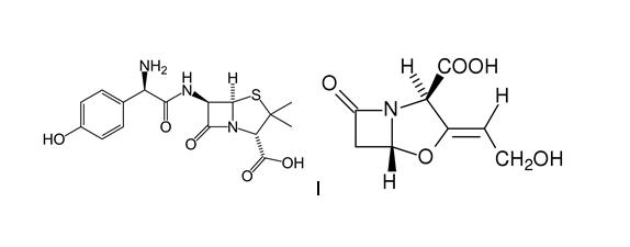
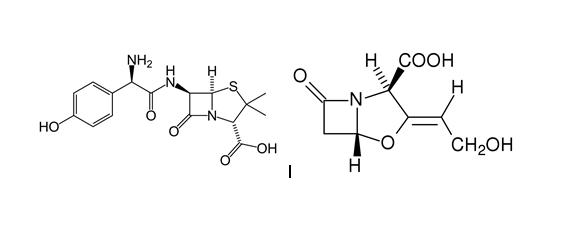
Antibiotic   Amoxicillin sodium / clavulanic acid  
Oral solution
injection
Stability of pharmaceutical preparations Stability of mixtures Factors which affect stability Compatibility References pdf
   Chemical structure  

Oral solution
Compatibility   Oral solution   Compatibility : Amoxicillin sodium / clavulanic acid              
No data

  Mentions Légales