Senaste uppdateringen :
05/12/2025
Infostab
Förteckning över substanser
Sammanfattande listor
Sök efter kompatibilitet
Kompatibilitetstabell
Hänvisningar
forskargrupper
valistab
Posters
Anslutningar
sponsorer
Författare
Användaranvisning
Nyhetsbladet
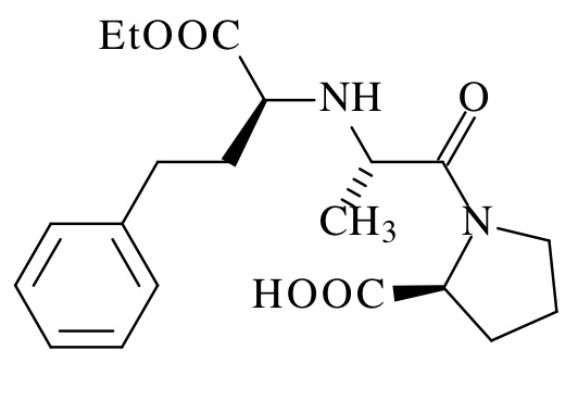
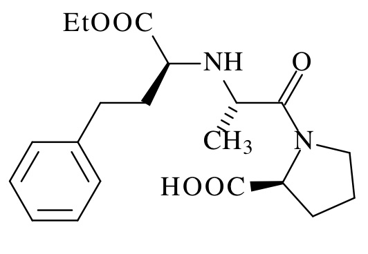
Enalapril maleate
Molekylstruktur
Hänvisningar : Enalapril maleate
Typ
Publikation
2422
tidningen
Allen LV, Jr, Erickson MA,
Stability of alprazolam, chloroquine phosphate, cisapride, enalapril maleate, and hydralazine hydrochloride in extemporaneously compounded oral liquids
Am J Health-Syst Pharm 1998 ; 55: 1915-1920.
2425
tidningen
Nahata MC, Morosco RS, Hipple TF.
Stability of enalapril maleate in three extemporaneously prepared oral liquids
Am J Health-Syst Pharm 1998 ; 55: 1155-1157.
2561
tidningen
Boulton DW, Woods DJ, Fawcett JP.
The stability of an enalapril maleate oral solution prepared from tablets.
Aust J Hosp Pharm 1994 ; 24: 151-156.
3857
tidningen
Polonini H.C, Sharlene L, Claudio L,Ferreira A.O,Brand?o M.A.F.
Stability of Atenolol, Clonazepam, Dexamethasone, Diclofenac Sodium, Diltiazem, Enalapril Maleate, Ketoprofen, Lamotrigine, Penicillamine-D, and Thiamine in SyrSpend SF PH4 Oral Suspensions
Int J Pharm Compound 2016 ; 20, 2: 167-174.
3921
tidningen
Friciu M, Zaraa S, Leclair G.
Stability of extemporaneously prepared enalapril maleate suspensions in glass bottles and plastic syringes.
Can J Hosp Pharm 2016 ; 69, 6: 505-507.
4097
tidningen
Casas M, Alvarez J, Lucero M.
Physicochemical stability of captopril and enalapril extemporaneous formulations for pediatric patients.
Pharm Dev Technol 2013
4905
tidningen
Mota S, Torres A, Quintas C, Peres A M, Ferreiro N, Cruz R, Ferreira H, Almeida I F, Casal S.
Characterization of Liquid Dosage Forms of Atenolol and Enalapril Maleate for Oral and Enteral Feeding Administration
Pharmaceuticals 2024 2024, 17,
Mentions Légales