Letztes “update” :
18/03/2026
Antihypertonikum   Enalapril maleate  
Lösung zum Einnehmen
Stabilität von pharmazeutischen Präparaten Gemengestabilität Stabilitätbeeinflussende Faktoren Kompatibilitäten Literaturverzeichnis pdf
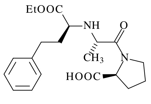
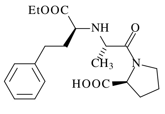
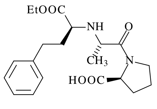
   Chemische Struktur  

Lösung zum Einnehmen
Literaturverzeichnis   Lösung zum Einnehmen   Literaturverzeichnis : Enalapril maleate  
Typ Veröffentlichung
2422 Zeitung Allen LV, Jr, Erickson MA,
Stability of alprazolam, chloroquine phosphate, cisapride, enalapril maleate, and hydralazine hydrochloride in extemporaneously compounded oral liquids
Am J Health-Syst Pharm 1998 ; 55: 1915-1920.
2425 Zeitung Nahata MC, Morosco RS, Hipple TF.
Stability of enalapril maleate in three extemporaneously prepared oral liquids
Am J Health-Syst Pharm 1998 ; 55: 1155-1157.
2561 Zeitung Boulton DW, Woods DJ, Fawcett JP.
The stability of an enalapril maleate oral solution prepared from tablets.
Aust J Hosp Pharm 1994 ; 24: 151-156.
3857 Zeitung Polonini H.C, Sharlene L, Claudio L,Ferreira A.O,Brand?o M.A.F.
Stability of Atenolol, Clonazepam, Dexamethasone, Diclofenac Sodium, Diltiazem, Enalapril Maleate, Ketoprofen, Lamotrigine, Penicillamine-D, and Thiamine in SyrSpend SF PH4 Oral Suspensions
Int J Pharm Compound 2016 ; 20, 2: 167-174.
3921 Zeitung Friciu M, Zaraa S, Leclair G.
Stability of extemporaneously prepared enalapril maleate suspensions in glass bottles and plastic syringes.
Can J Hosp Pharm 2016 ; 69, 6: 505-507.
4097 Zeitung Casas M, Alvarez J, Lucero M.
Physicochemical stability of captopril and enalapril extemporaneous formulations for pediatric patients.
Pharm Dev Technol 2013
4905 Zeitung Mota S, Torres A, Quintas C, Peres A M, Ferreiro N, Cruz R, Ferreira H, Almeida I F, Casal S.
Characterization of Liquid Dosage Forms of Atenolol and Enalapril Maleate for Oral and Enteral Feeding Administration
Pharmaceuticals 2024 2024, 17,

  Mentions Légales