Ultimo aggiornamento :
18/03/2026
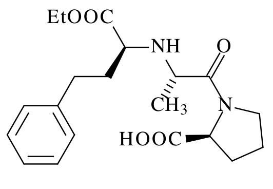
Antipertensivo   Enalapril maleate  
Soluzione orale
Stabilità dei preparati farmaceutici Stabilità in miscela Fattori che influenzano la stabilità Compatibilità Bibliografia pdf
   Struttura chimica  

Soluzione orale
Bibliografia   Soluzione orale   Bibliografia : Enalapril maleate  
tipo pubblicazione
2422 Rivista Allen LV, Jr, Erickson MA,
Stability of alprazolam, chloroquine phosphate, cisapride, enalapril maleate, and hydralazine hydrochloride in extemporaneously compounded oral liquids
Am J Health-Syst Pharm 1998 ; 55: 1915-1920.
2425 Rivista Nahata MC, Morosco RS, Hipple TF.
Stability of enalapril maleate in three extemporaneously prepared oral liquids
Am J Health-Syst Pharm 1998 ; 55: 1155-1157.
2561 Rivista Boulton DW, Woods DJ, Fawcett JP.
The stability of an enalapril maleate oral solution prepared from tablets.
Aust J Hosp Pharm 1994 ; 24: 151-156.
3857 Rivista Polonini H.C, Sharlene L, Claudio L,Ferreira A.O,Brand?o M.A.F.
Stability of Atenolol, Clonazepam, Dexamethasone, Diclofenac Sodium, Diltiazem, Enalapril Maleate, Ketoprofen, Lamotrigine, Penicillamine-D, and Thiamine in SyrSpend SF PH4 Oral Suspensions
Int J Pharm Compound 2016 ; 20, 2: 167-174.
3921 Rivista Friciu M, Zaraa S, Leclair G.
Stability of extemporaneously prepared enalapril maleate suspensions in glass bottles and plastic syringes.
Can J Hosp Pharm 2016 ; 69, 6: 505-507.
4097 Rivista Casas M, Alvarez J, Lucero M.
Physicochemical stability of captopril and enalapril extemporaneous formulations for pediatric patients.
Pharm Dev Technol 2013
4905 Rivista Mota S, Torres A, Quintas C, Peres A M, Ferreiro N, Cruz R, Ferreira H, Almeida I F, Casal S.
Characterization of Liquid Dosage Forms of Atenolol and Enalapril Maleate for Oral and Enteral Feeding Administration
Pharmaceuticals 2024 2024, 17,

  Mentions Légales