Última actualização :
18/03/2026
Infostab
Lista de compostos
Listas de leitura dos resumos de informação
Pesquise compatibilidades
Tabela de compatibilidade do site Y
Bibliografía
As equipas de investigação
valistab
poster
Conexões
patrocinadores
Autores
Manual do utilizador
Boletim de notícias
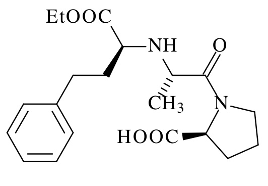
Enalapril maleate
estrutura química
Bibliografía : Enalapril maleate
tipo
publicação
2422
jornal
Allen LV, Jr, Erickson MA,
Stability of alprazolam, chloroquine phosphate, cisapride, enalapril maleate, and hydralazine hydrochloride in extemporaneously compounded oral liquids
Am J Health-Syst Pharm 1998 ; 55: 1915-1920.
2425
jornal
Nahata MC, Morosco RS, Hipple TF.
Stability of enalapril maleate in three extemporaneously prepared oral liquids
Am J Health-Syst Pharm 1998 ; 55: 1155-1157.
2561
jornal
Boulton DW, Woods DJ, Fawcett JP.
The stability of an enalapril maleate oral solution prepared from tablets.
Aust J Hosp Pharm 1994 ; 24: 151-156.
3857
jornal
Polonini H.C, Sharlene L, Claudio L,Ferreira A.O,Brand?o M.A.F.
Stability of Atenolol, Clonazepam, Dexamethasone, Diclofenac Sodium, Diltiazem, Enalapril Maleate, Ketoprofen, Lamotrigine, Penicillamine-D, and Thiamine in SyrSpend SF PH4 Oral Suspensions
Int J Pharm Compound 2016 ; 20, 2: 167-174.
3921
jornal
Friciu M, Zaraa S, Leclair G.
Stability of extemporaneously prepared enalapril maleate suspensions in glass bottles and plastic syringes.
Can J Hosp Pharm 2016 ; 69, 6: 505-507.
4097
jornal
Casas M, Alvarez J, Lucero M.
Physicochemical stability of captopril and enalapril extemporaneous formulations for pediatric patients.
Pharm Dev Technol 2013
4905
jornal
Mota S, Torres A, Quintas C, Peres A M, Ferreiro N, Cruz R, Ferreira H, Almeida I F, Casal S.
Characterization of Liquid Dosage Forms of Atenolol and Enalapril Maleate for Oral and Enteral Feeding Administration
Pharmaceuticals 2024 2024, 17,
Mentions Légales