Última actualización :
18/03/2026
Antibiótico   Rifabutin  
Solución Oral
La estabilidad de las preparaciones farmacéuticas Estabilidad en mezcla Factores que influyen sobre la estabilidad Compatibilidades Bibliografía pdf
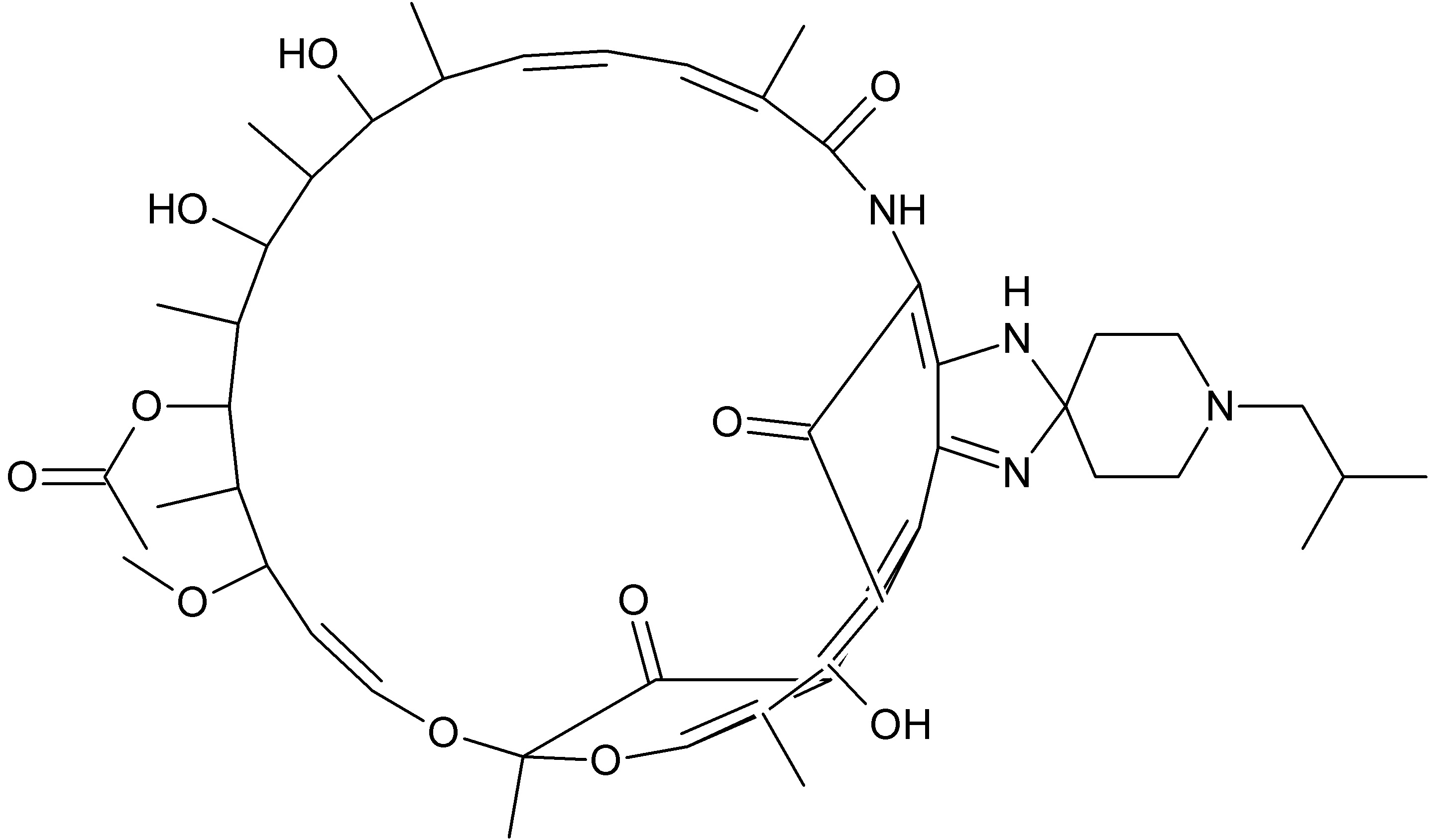
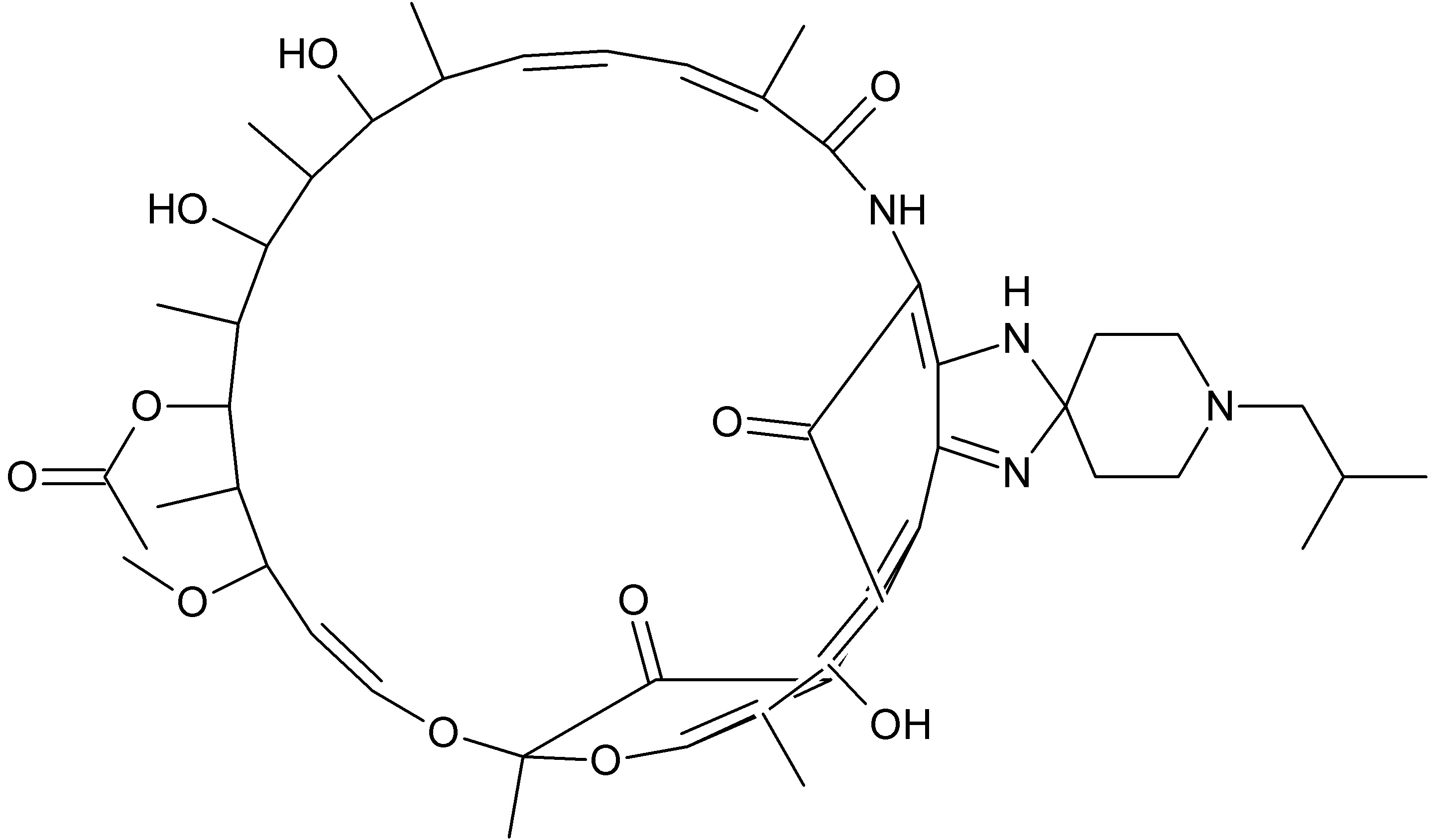
   Estructura química  

Solución Oral
La estabilidad de las preparaciones farmacéuticas   Solución Oral   La estabilidad de las preparaciones farmacéuticas : Rifabutin     
Envase Origine Excipiente Temperatura Conservación Duración de la estabilidad Bibliografía
Botella de plástico Cápsulas 200 mg
Mycobutin®
Jarabe de cereza >>10ml
25°C No precisada
84 Día
2419

Botella de plástico Cápsulas 200 mg
Mycobutin®
OraPlus® / OraSweet® (1:1) >>10ml
25°C No precisada
84 Día
2419

Botella de plástico Cápsulas 200 mg
Mycobutin®
Jarabe de cereza >>10ml
30-40°C No precisada
56 Día
2419

Botella de plástico Cápsulas 200 mg
Mycobutin®
OraPlus® / OraSweet® (1:1) >>10ml
30-40°C No precisada
84 Día
2419

Botella de plástico Cápsulas 200 mg
Mycobutin®
Jarabe de cereza >>10ml
4°C No precisada
84 Día
2419

Botella de plástico Cápsulas 200 mg
Mycobutin®
OraPlus® / OraSweet® (1:1) >>10ml
4°C No precisada
84 Día
2419


  Mentions Légales