最新更新 :
03/02/2026
抗生素   Rifabutin  
口服剂
制剂的稳定性 混合物稳定性 影响稳定性的因素 兼容性 引用文献 PDF
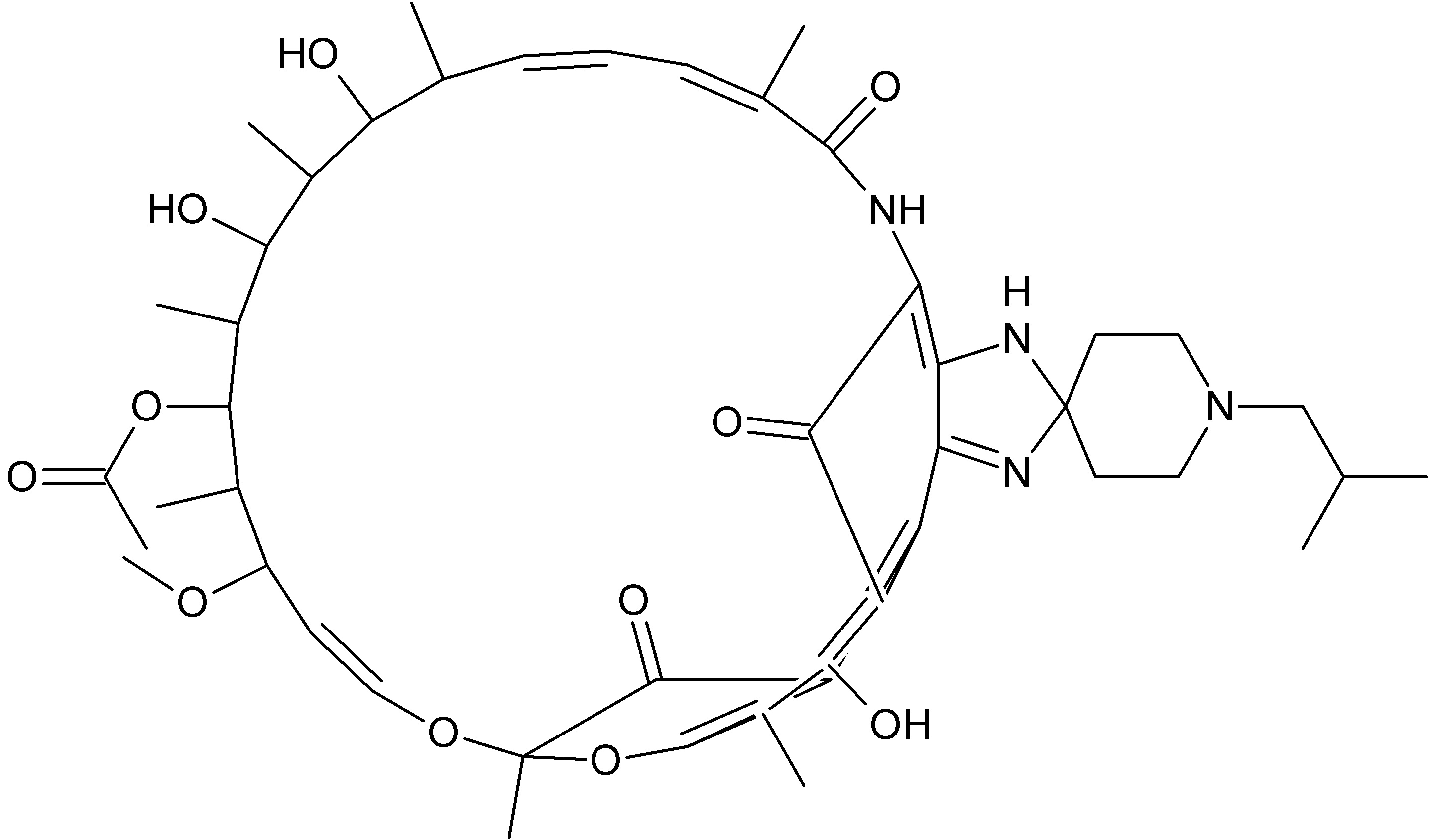
   化学式  

口服剂
制剂的稳定性   口服剂   制剂的稳定性 : Rifabutin     
容器 Origine 添加剂 温度 保存 穩定持續時間 引用文献
塑料瓶 胶囊 200 mg
Mycobutin®
樱桃糖浆 >>10ml
25°C 无特殊要求
84 白天
2419

塑料瓶 胶囊 200 mg
Mycobutin®
OraPlus® / OraSweet® (1:1) >>10ml
25°C 无特殊要求
84 白天
2419

塑料瓶 胶囊 200 mg
Mycobutin®
樱桃糖浆 >>10ml
30-40°C 无特殊要求
56 白天
2419

塑料瓶 胶囊 200 mg
Mycobutin®
OraPlus® / OraSweet® (1:1) >>10ml
30-40°C 无特殊要求
84 白天
2419

塑料瓶 胶囊 200 mg
Mycobutin®
樱桃糖浆 >>10ml
4°C 无特殊要求
84 白天
2419

塑料瓶 胶囊 200 mg
Mycobutin®
OraPlus® / OraSweet® (1:1) >>10ml
4°C 无特殊要求
84 白天
2419


  Mentions Légales