Pēdējā atjaunošana :
18/03/2026
Antibiotika   Rifabutin  
Orāls šķīdums
Stabilitāte farmaceitisko preparātu Maisījuma stabilitāte Stabilitāti ietekmējoši faktori Saderība Literatūras saraksts pdf
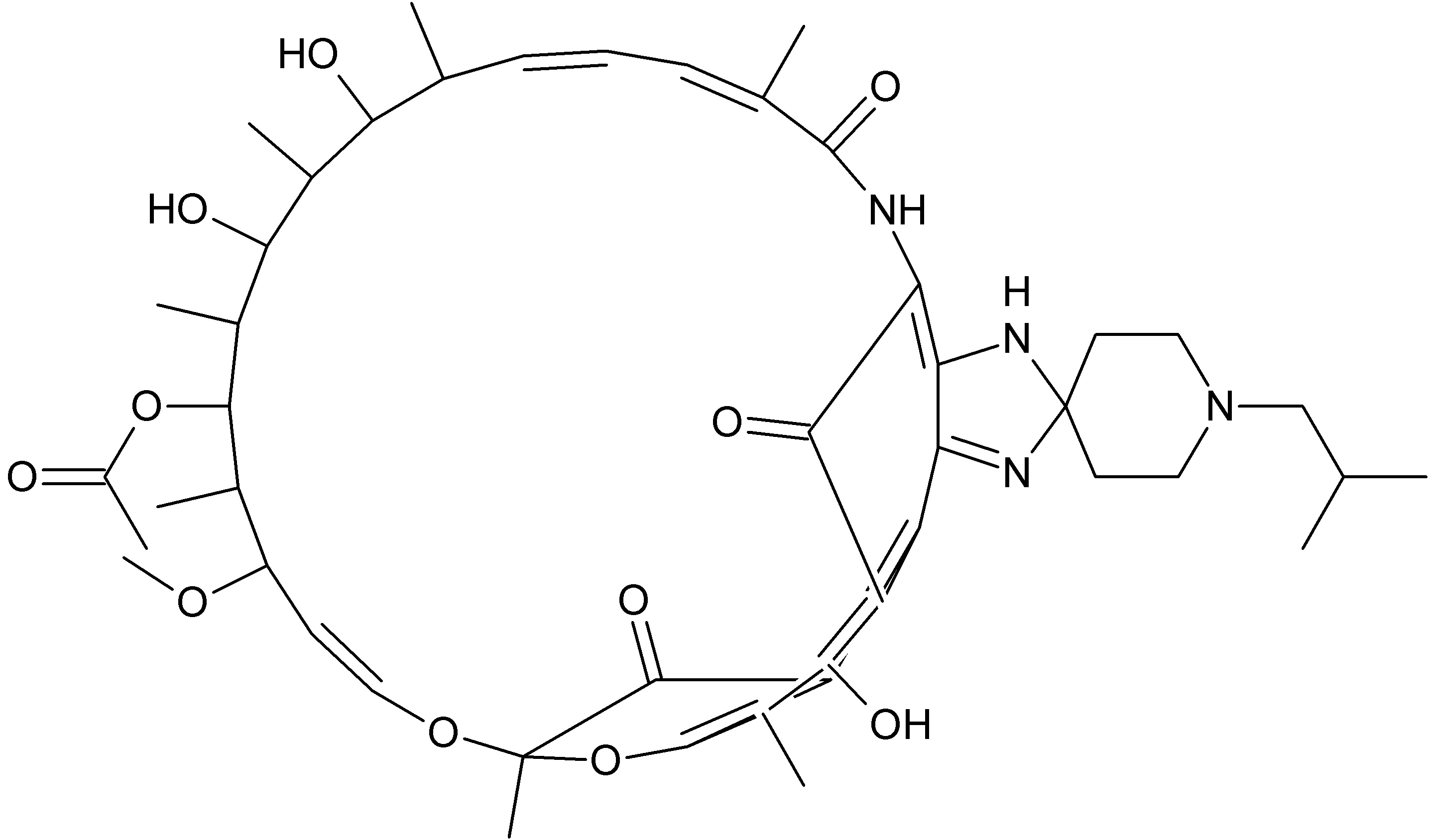
   Ķīmiskā uzbūve   

Orāls šķīdums
Stabilitāte farmaceitisko preparātu   Orāls šķīdums   Stabilitāte farmaceitisko preparātu : Rifabutin     
Iepakojums Origine Palīgviela Temperatūra Glabāšana Stabilitātes ilgums Literatūras saraksts
Plastmasas pudele Kapsulas 200 mg
Mycobutin®
Ķiršu sīrups >>10ml
25°C Nav specifisks
84 Diena
2419

Plastmasas pudele Kapsulas 200 mg
Mycobutin®
OraPlus® / OraSweet® (1:1) >>10ml
25°C Nav specifisks
84 Diena
2419

Plastmasas pudele Kapsulas 200 mg
Mycobutin®
Ķiršu sīrups >>10ml
30-40°C Nav specifisks
56 Diena
2419

Plastmasas pudele Kapsulas 200 mg
Mycobutin®
OraPlus® / OraSweet® (1:1) >>10ml
30-40°C Nav specifisks
84 Diena
2419

Plastmasas pudele Kapsulas 200 mg
Mycobutin®
Ķiršu sīrups >>10ml
4°C Nav specifisks
84 Diena
2419

Plastmasas pudele Kapsulas 200 mg
Mycobutin®
OraPlus® / OraSweet® (1:1) >>10ml
4°C Nav specifisks
84 Diena
2419


  Mentions Légales