Ostatnia aktualizacja :
18/03/2026
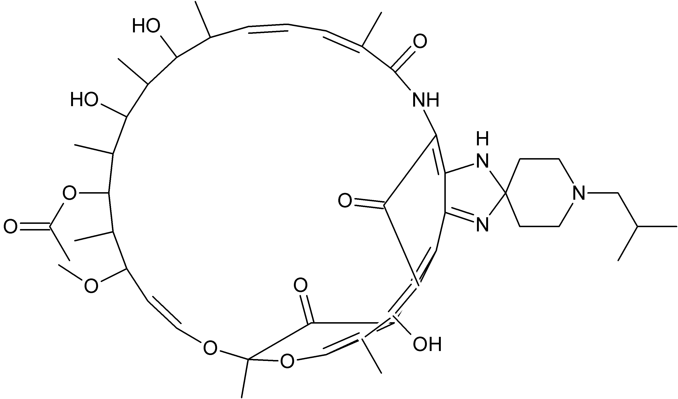
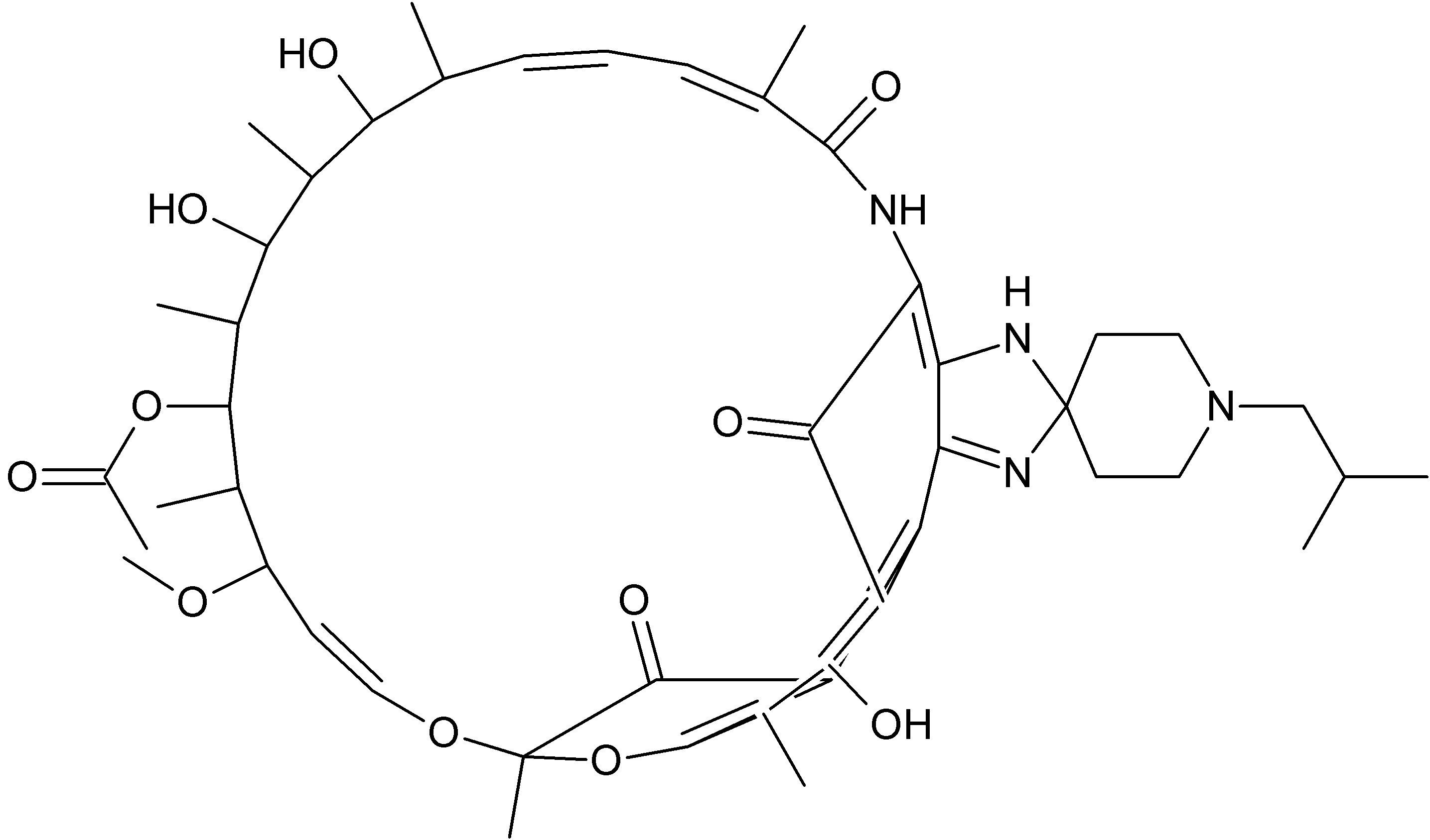
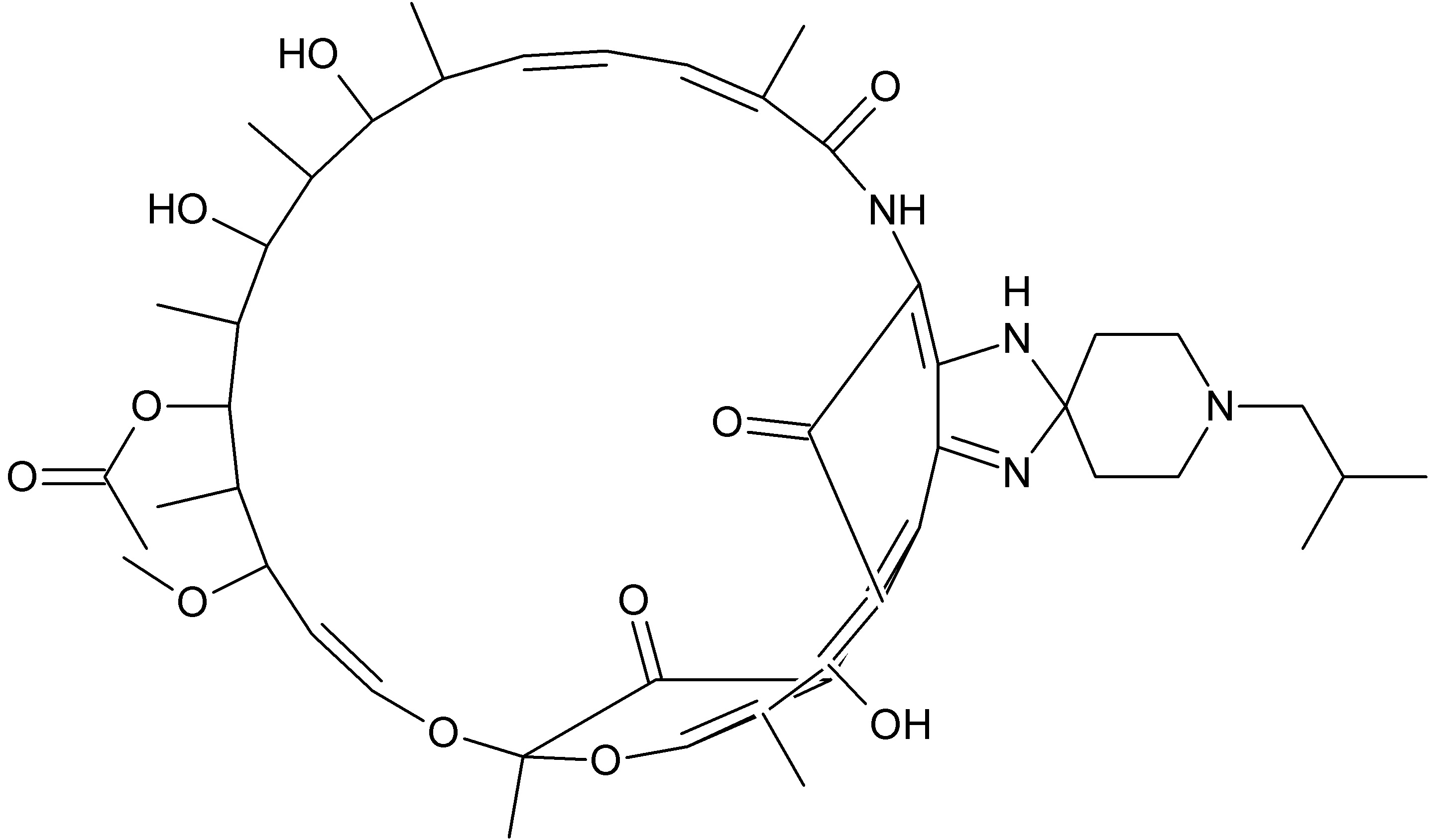
Antybiotyk   Rifabutin  
Roztwór doustny
Stabilność preparatów farmaceutycznych Trwałość w mieszaninie Czynnik wpływający na trwałość Zgodność Bibliografia pdf
   Struktura chemiczna  

Roztwór doustny
Stabilność preparatów farmaceutycznych   Roztwór doustny   Stabilność preparatów farmaceutycznych : Rifabutin     
Pojemnik Origine Substancja pomocniczna Temperatura Przechowywanie Czas trwania stabilności Bibliografia
Butelka plastikowa Kapsułki 200 mg
Mycobutin®
Syrop wiśniowy >>10ml
25°C Nie wyszczególniony
84 Dzień
2419

Butelka plastikowa Kapsułki 200 mg
Mycobutin®
OraPlus® / OraSweet® (1:1) >>10ml
25°C Nie wyszczególniony
84 Dzień
2419

Butelka plastikowa Kapsułki 200 mg
Mycobutin®
Syrop wiśniowy >>10ml
30-40°C Nie wyszczególniony
56 Dzień
2419

Butelka plastikowa Kapsułki 200 mg
Mycobutin®
OraPlus® / OraSweet® (1:1) >>10ml
30-40°C Nie wyszczególniony
84 Dzień
2419

Butelka plastikowa Kapsułki 200 mg
Mycobutin®
Syrop wiśniowy >>10ml
4°C Nie wyszczególniony
84 Dzień
2419

Butelka plastikowa Kapsułki 200 mg
Mycobutin®
OraPlus® / OraSweet® (1:1) >>10ml
4°C Nie wyszczególniony
84 Dzień
2419


  Mentions Légales