Utolsó frissítés :
18/03/2026
Antibiotikum   Rifabutin  
belsőleges oldat
Stabilitása gyógyszerészeti készítmények A keverékek stabilitása Stabilitást befolyásoló tényezők Kompatibilitás Irodalom pdf
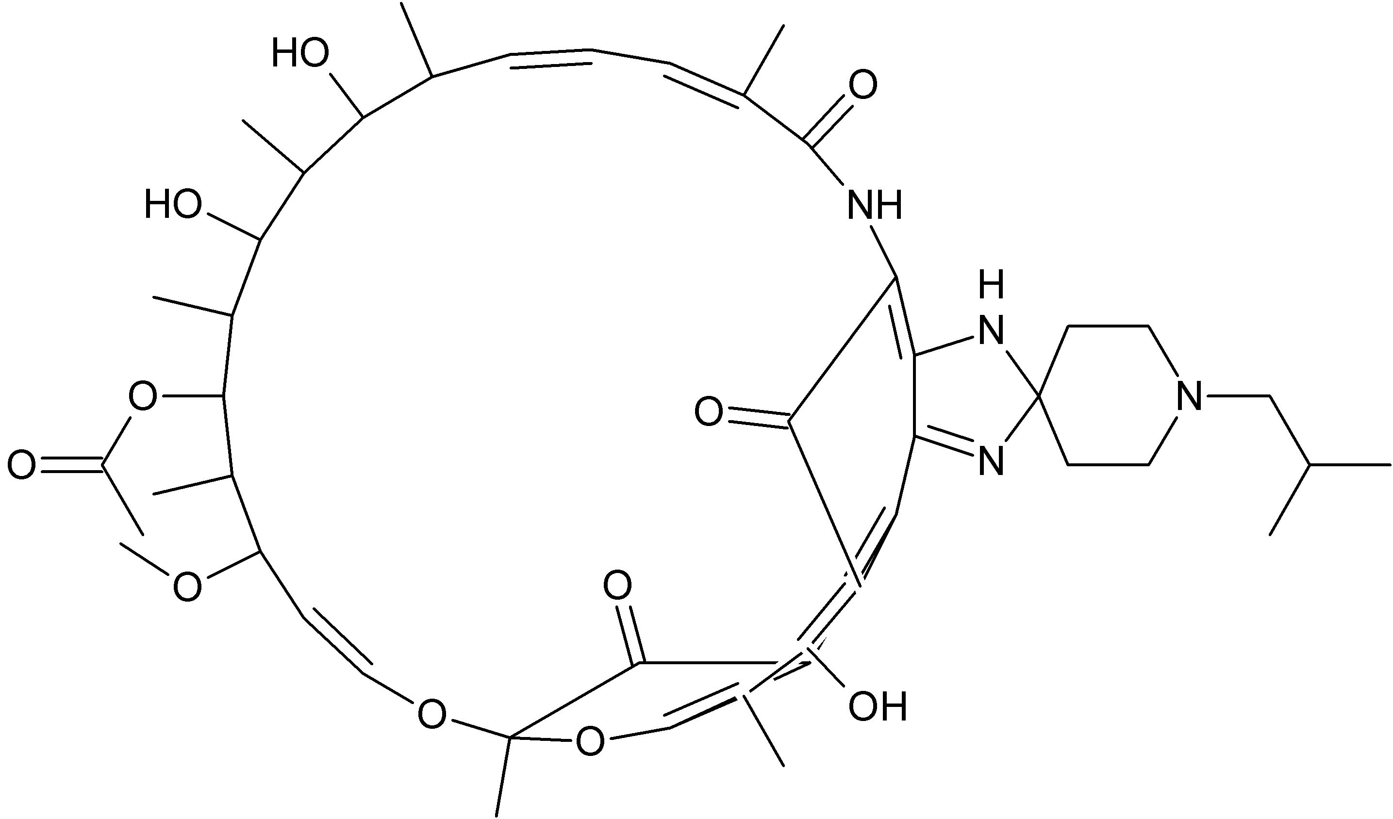
   Kémiai szerkezet   

belsőleges oldat
Stabilitása gyógyszerészeti készítmények   belsőleges oldat   Stabilitása gyógyszerészeti készítmények : Rifabutin     
Csomagolás Origine segédanyag Hőmérséklet Tárolás A stabilitás időtartama Irodalom
műanyag flakon kapszula 200 mg
Mycobutin®
Cseresznye szirup >>10ml
25°C Nincs meghatározva
84 Nap
2419

műanyag flakon kapszula 200 mg
Mycobutin®
OraPlus® / OraSweet® (1:1) >>10ml
25°C Nincs meghatározva
84 Nap
2419

műanyag flakon kapszula 200 mg
Mycobutin®
Cseresznye szirup >>10ml
30-40°C Nincs meghatározva
56 Nap
2419

műanyag flakon kapszula 200 mg
Mycobutin®
OraPlus® / OraSweet® (1:1) >>10ml
30-40°C Nincs meghatározva
84 Nap
2419

műanyag flakon kapszula 200 mg
Mycobutin®
Cseresznye szirup >>10ml
4°C Nincs meghatározva
84 Nap
2419

műanyag flakon kapszula 200 mg
Mycobutin®
OraPlus® / OraSweet® (1:1) >>10ml
4°C Nincs meghatározva
84 Nap
2419


  Mentions Légales