zadnja posodobitev :
18/03/2026
rak drog   Azacitidine  
Brizgalka
Stabilnost raztopine Stabilnost mešanice Faktorji, ki vplivajo na stabilnost Kompatibilnost način aplikacije Viri pdf
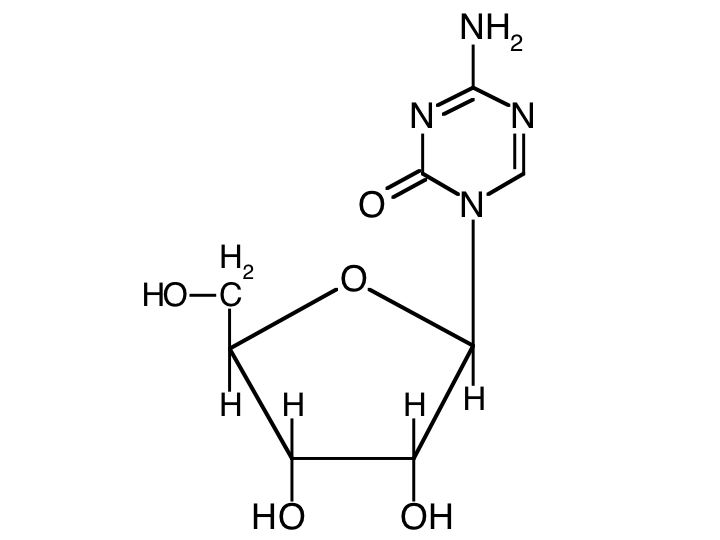
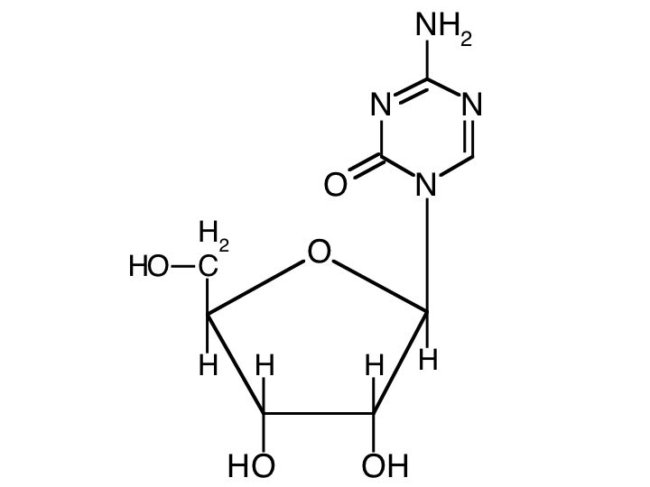
   Kemična formula  

Lastniško ime   Lastniško ime     

Sestava pomožnih snovi je med paralelami lahko različna

Amilix Argentina
Arquimes Argentina
Azacimyl Čile
Azacitidina Argentina, Čile, Peru
Azacitidine Nemčija, Združene države Amerike
Azacor Peru
Azadin Turčija
Azamex Argentina
Azanova Argentina
Azateva Argentina
Azida Turčija
Azitech Argentina
Citofin Argentina
Iclacitidina Peru
Iterbil Argentina
Maturus Argentina
Mietozitidina Argentina, Peru
Nimodac Argentina
Remitiva Čile
Tazadir Argentina
Vidaza Argentina, Avstralija, Belgija, Brazilija, Čile, Finska, Francija, Hrvaška, Islandija, Italija, Japonska, Kanada, Kolumbija, Luksemburg, Madžarska, Malezija, Mehika, Nemčija, Norveška, nova Zelandija, Peru, Romunija, Slovenija, Španija, Švedska, Švica, Tunizija, Turčija, Velika Britanija, Združene države Amerike
Zacidonel Mehika
Zylatadina Argentina
Kompatibilnost   Brizgalka   Kompatibilnost : Azacitidine              
Ta zaslon prikazuje združljivost ali nezdružljivost s, v tem primeru, vrsto nezdružljivosti (padavine, sprememba barve, sprememba emulzije itd.). Tu prikazane združljivosti so večinoma samo fizične, pri čemer se kemijska stabilnost vsake molekule redko ocenjuje. Vrednotenje teh zmesi so preučevali, da bi preučili možnost pacientovega dajanja na mestu Y. Teh podatkov ni mogoče uporabiti za pripravo mešanic v vrečkah ali brizgah. Ta vrsta informacij je na voljo na zaslonu "Obstojnost v mešanici".
Sestava Topilo Viri

  Mentions Légales