Ultimo aggiornamento :
18/03/2026
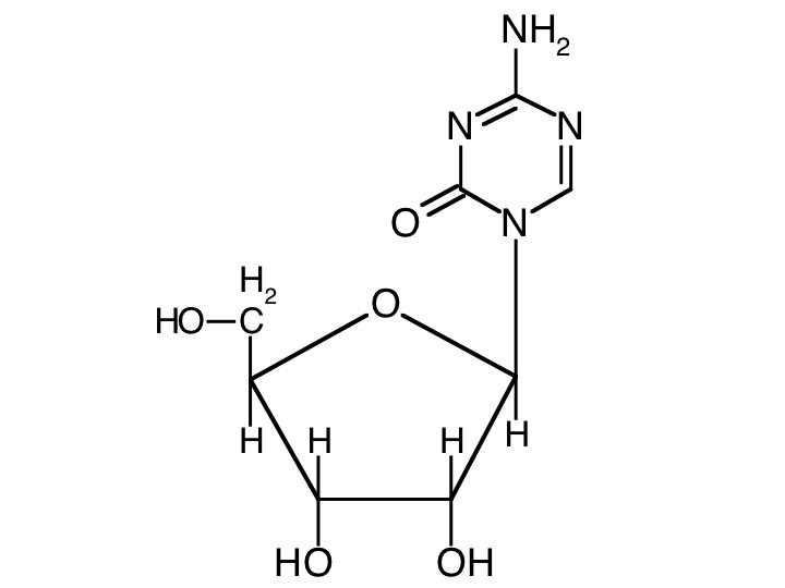
farmaco contro il cancro   Azacitidine  
Iniezione
Stabilità in soluzione Stabilità in miscela Fattori che influenzano la stabilità Compatibilità metodo di iniezione Bibliografia pdf
   Struttura chimica  

Nome commerciale   Nome commerciale     

Trade names are indicative and excipients composition can be different depending on the country and manufacturers

Amilix Argentina
Arquimes Argentina
Azacimyl Chile
Azacitidina Argentina, Chile, Perù
Azacitidine Germania, Stati Uniti d’America
Azacor Perù
Azadin Turchia
Azamex Argentina
Azanova Argentina
Azateva Argentina
Azida Turchia
Azitech Argentina
Citofin Argentina
Iclacitidina Perù
Iterbil Argentina
Maturus Argentina
Mietozitidina Argentina, Perù
Nimodac Argentina
Remitiva Chile
Tazadir Argentina
Vidaza Argentina, Australia, Belgio, Brasile, Canada, Chile, Colombia, Croazia, Finlandia, Francia, Germania, Giappone, Gran Bretagna, Islanda, Italia, Lussemburgo, Malaysia, Messico, Norvegia, nuova Zelanda, Perù, Romania, Slovenia, Spagna, Stati Uniti d’America, Svezia, Svizzera, Tunisia, Turchia, Ungheria
Zacidonel Messico
Zylatadina Argentina
Compatibilità   Iniezione   Compatibilità : Azacitidine              
explication_incompatibilite_molecules
Molecola Solvente Bibliografia

  Mentions Légales