Posledná aktualizácia :
18/03/2026
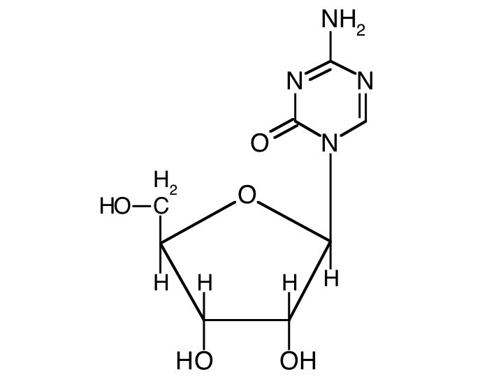
Protinádorová liečba   Azacitidine  
Injekcia
Stabilita roztokov Stabilita v zmesiach Faktory ovplyvňujúce stabilitu Kompatibility spôsob podania Odkazy na literatúru PDF
   Chemický vzorec  

Obchodný názov   Obchodný názov     

Obchodné názvy sú orientačné, a zloženie pomocných látok sa môže líšiť v závislosti od krajiny a výrobcu.

Amilix Argentína
Arquimes Argentína
Azacimyl Čile
Azacitidina Argentína, Čile, peru
Azacitidine Nemecko, Spojené štáty Americké
Azacor peru
Azadin Turecko
Azamex Argentína
Azanova Argentína
Azateva Argentína
Azida Turecko
Azitech Argentína
Citofin Argentína
Iclacitidina peru
Iterbil Argentína
Maturus Argentína
Mietozitidina Argentína, peru
Nimodac Argentína
Remitiva Čile
Tazadir Argentína
Vidaza Argentína, Austrália, Belgicko, Brazília, Chorvátsko, Čile, Fínsko, Francúzsko, Island, Japonsko, Kanada, Kolumbia, Luxembursko, Maďarsko, Malajzia, Mexiko, Nemecko, Nórsko, nový Zéland, peru, Rumunsko, Slovinsko, Španielsko, Spojené štáty Americké, Švajčiarsko, Švédsko, Taliansko, Tunisko, Turecko, Veľká Británia
Zacidonel Mexiko
Zylatadina Argentína
Kompatibility   Injekcia   Kompatibility : Azacitidine              
Toto okno zobrazuje kompatibility alebo inkombatibility, v prípade inkompatibility aj jej typ (vyzrážanie, zmena farby, zmena emulzie atď.). Tu vymenované kompatibility sú väčšinou len fyzikálne, chemická stabilita každej zo zlúčenín sa hodnotila len zriedkavo. Tieto zmesi sa skúmali za účelom možnosti súbežného podávania pacientovi cez infúznu spojku Y. Údaje sa nedajú použiť na prípravu zmesí vo vakoch alebo striekačkách. Taká informácia sa nachádza v okne „Stabilita v zmesiach“.
Zlúčenina rozpúšťadlo odkazy na lieteratúru

  Mentions Légales