Last update :
18/03/2026
Anticancer drug   Azacitidine  
injection
Stability in solutions Stability of mixtures Factors which affect stability Compatibility Route of administration References pdf
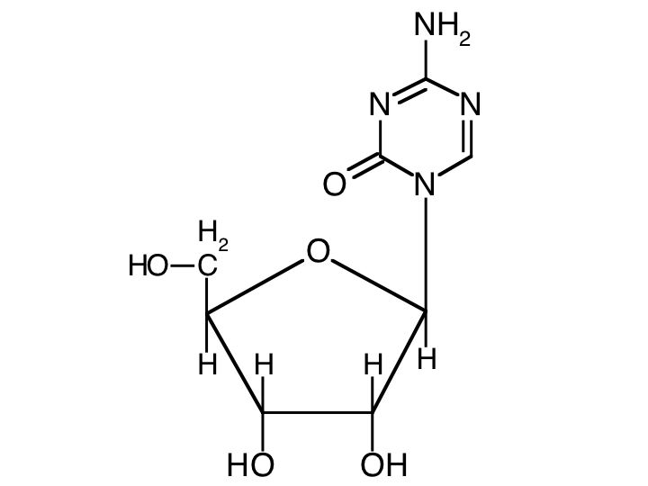
   Chemical structure  

Tradename   Tradename     

Trade names are indicative and excipients composition can be different depending on the country and manufacturers

Amilix Argentina
Arquimes Argentina
Azacimyl Chile
Azacitidina Argentina, Chile, Peru
Azacitidine Germany, United States of America
Azacor Peru
Azadin Turkey
Azamex Argentina
Azanova Argentina
Azateva Argentina
Azida Turkey
Azitech Argentina
Citofin Argentina
Iclacitidina Peru
Iterbil Argentina
Maturus Argentina
Mietozitidina Argentina, Peru
Nimodac Argentina
Remitiva Chile
Tazadir Argentina
Vidaza Argentina, Australia, Belgium, Brazil, Canada, Chile, Colombia, Croatia, Finland, France, Germany, Great Britain, Hungary, Iceland, Italy, Japan, Luxembourg, Malaysia, Mexico, New Zealand, Norway, Peru, Romania, Slovenia, Spain, Sweden, Switzerland, Tunisia, Turkey, United States of America
Zacidonel Mexico
Zylatadina Argentina
Compatibility   injection   Compatibility : Azacitidine              
This screen indicates the compatibilities or incompatibilities with, in this case, the type of incompatibility (precipitation, color change, modification of an emulsion, etc.). The compatibilities shown here are mostly physical only, with the chemical stability of each molecule rarely being assessed. The evaluation of these mixtures was studied to consider the possibility of Y-site administration to the patient. These data cannot be used for making mixtures in advance in bags or syringes. This type of information is available in the screen "Stability in mixture ».
Compound Solvent References

  Mentions Légales