Laatste update :
18/03/2026
geneesmiddel tegen kanker   Azacitidine  
injecteerbaar geneesmiddel
Stabiliteit in oplossing Stabiliteit in mengsels Factoren die de stabiliteit beïnvloeden Verenigbaarheden Toedieningswijze Literatuur pdf
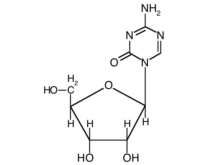
   Molecuulstructuur  

Merknamen in verschillende landen   Merknamen in verschillende landen     

Handelsnamen zijn slechts een indicatie; de samenstelling van hulpstoffen kan per land variëren afhankelijk van de fabrikant

Amilix Argentinië
Arquimes Argentinië
Azacimyl Chili
Azacitidina Argentinië, Chili, Peru
Azacitidine Duitsland, USA
Azacor Peru
Azadin Turkije
Azamex Argentinië
Azanova Argentinië
Azateva Argentinië
Azida Turkije
Azitech Argentinië
Citofin Argentinië
Iclacitidina Peru
Iterbil Argentinië
Maturus Argentinië
Mietozitidina Argentinië, Peru
Nimodac Argentinië
Remitiva Chili
Tazadir Argentinië
Vidaza Argentinië, Australië, België, Brazilië, Canada, Chili, Colombia, Duitsland, Finland, Frankrijk, Groot Britannië, Hongarije, IJsland, Italië, Japan, Kroatië, Luxemburg, Maleisië, Mexico, nieuw Zeeland, Noorwegen, Peru, Roemenië, Slovenië, Spanje, Tunisie, Turkije, USA, Zweden, Zwitserland
Zacidonel Mexico
Zylatadina Argentinië
Verenigbaarheden   injecteerbaar geneesmiddel   Verenigbaarheden : Azacitidine              
In dit scherm worden de verenigbaarheden en onverenigbaarheden weergegeven. In het geval van een onverenigbaarheid wordt ook het type (neerslag, kleurverandering, modificatie van een emulsie, etc) weergegeven. De weergegeven verenigbaarheden zijn meestal alleen op uiterlijk beoordeeld, er heeft zelden een chemische beoordeling van iedere component plaatsgevonden. De verenigbaarheden betreffen gelijktijdige toediening aan de patient middels de Y-site. De data kan niet gebruikt worden in de beoordeling van verenigbaarheden van componenten in infuuszakken of spuiten. Die informatie is te vinden onder ‘stabiliteit in mengsels’.
Stof Oplosmiddel Literatuur

  Mentions Légales