Cập nhật lần cuối :
27/11/2025
Kháng sinh   Colistin mesilate sodium  
Dạng tiêm
Khí dung
Tính ổn định của các dung dịch Độ ổn định khi trộn lẫn Những yếu tố ảnh hưởng đến độ ổn định Khả năng tương thích Đường dùng Tài liệu tham khảo Pdf
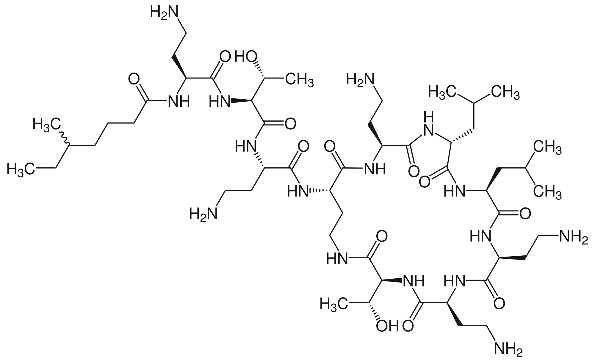
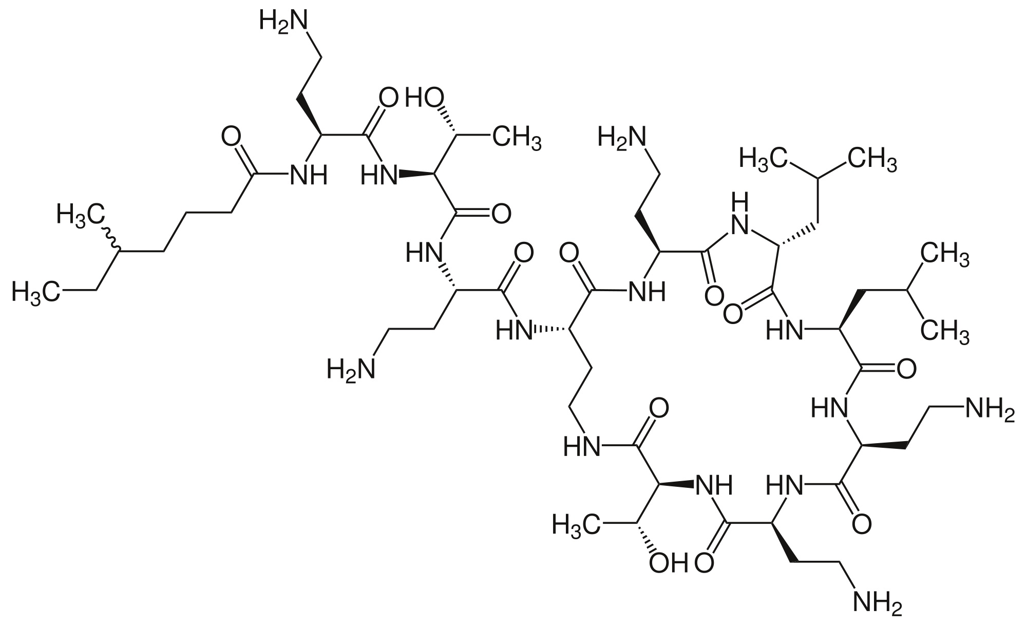
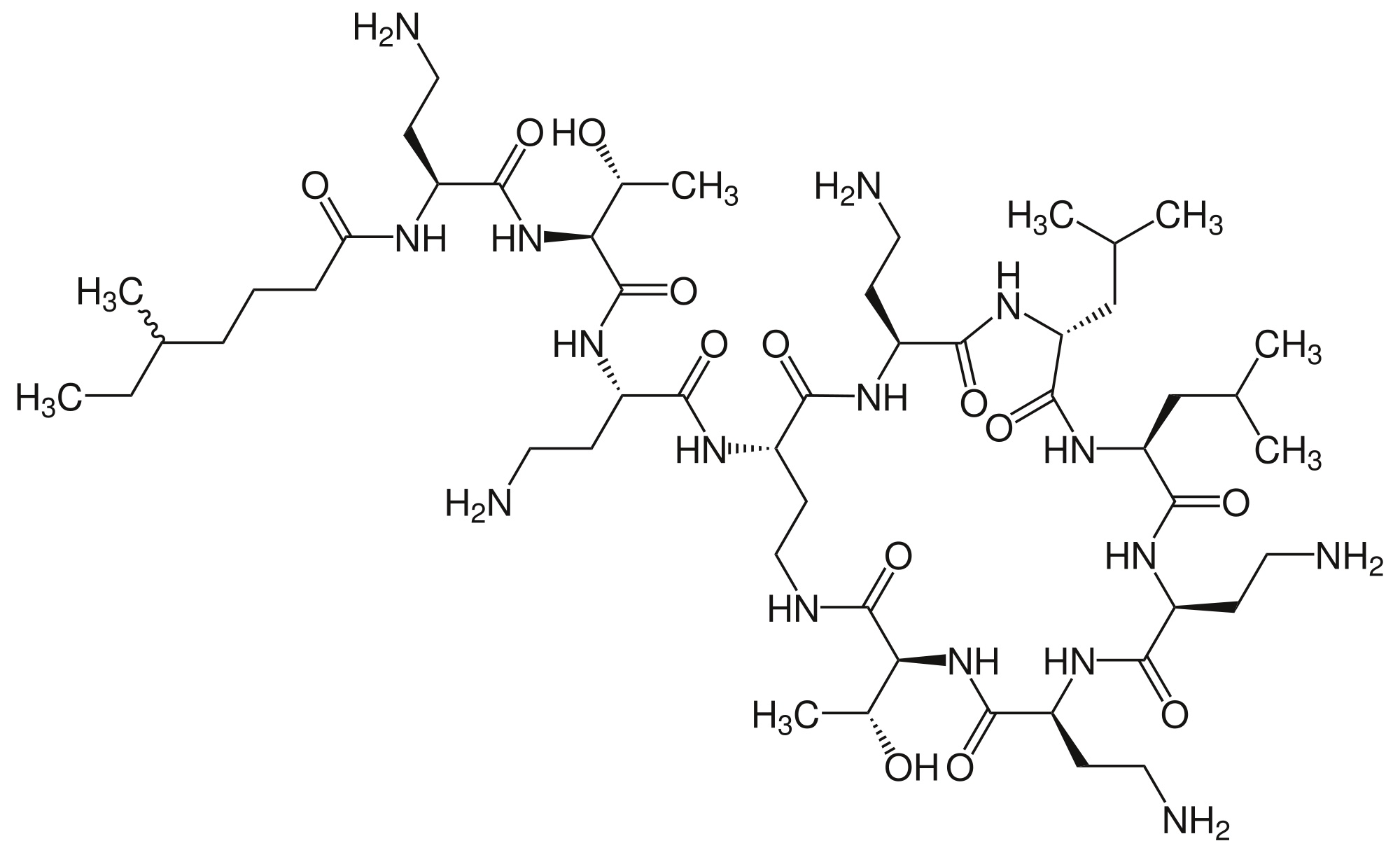
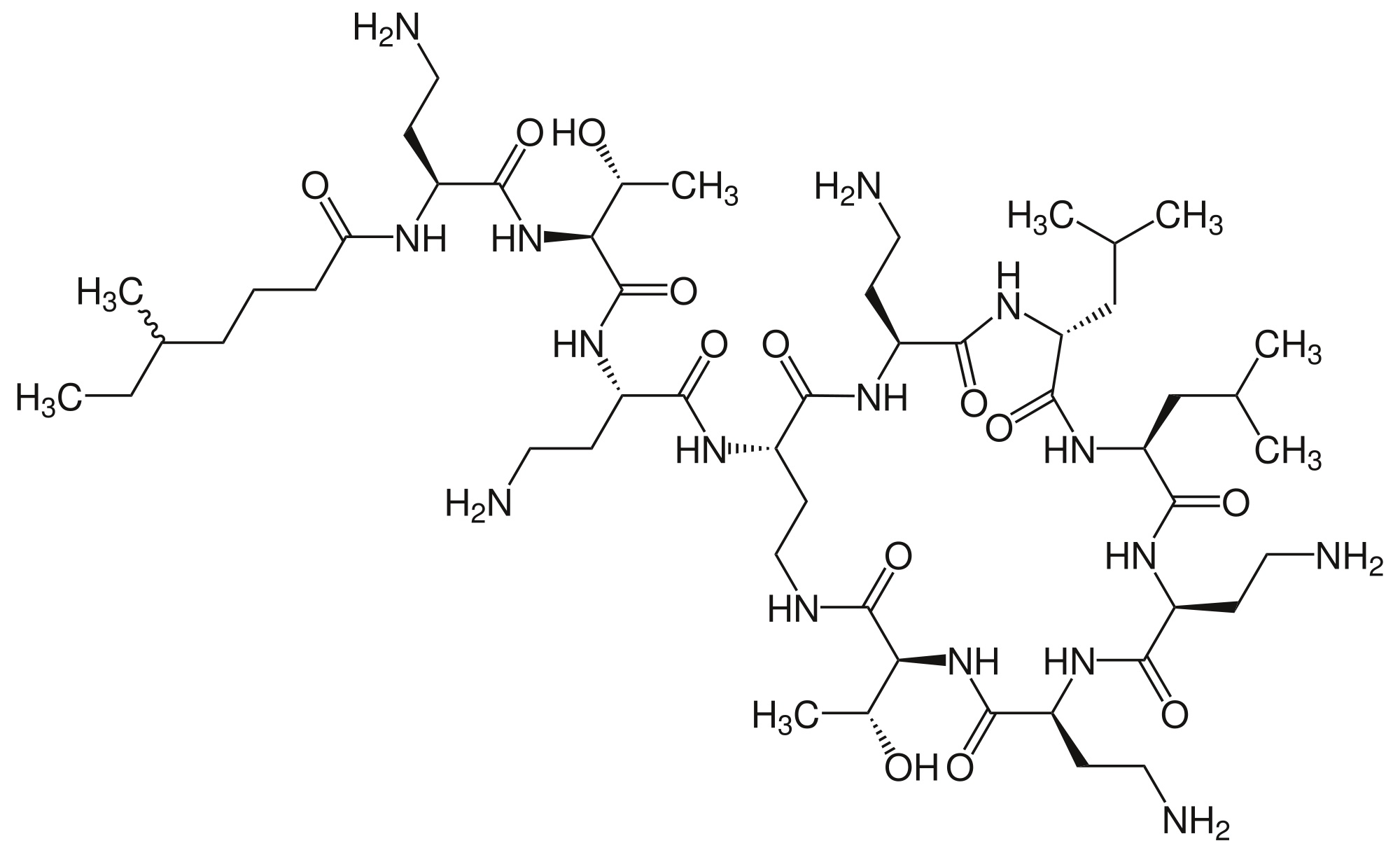
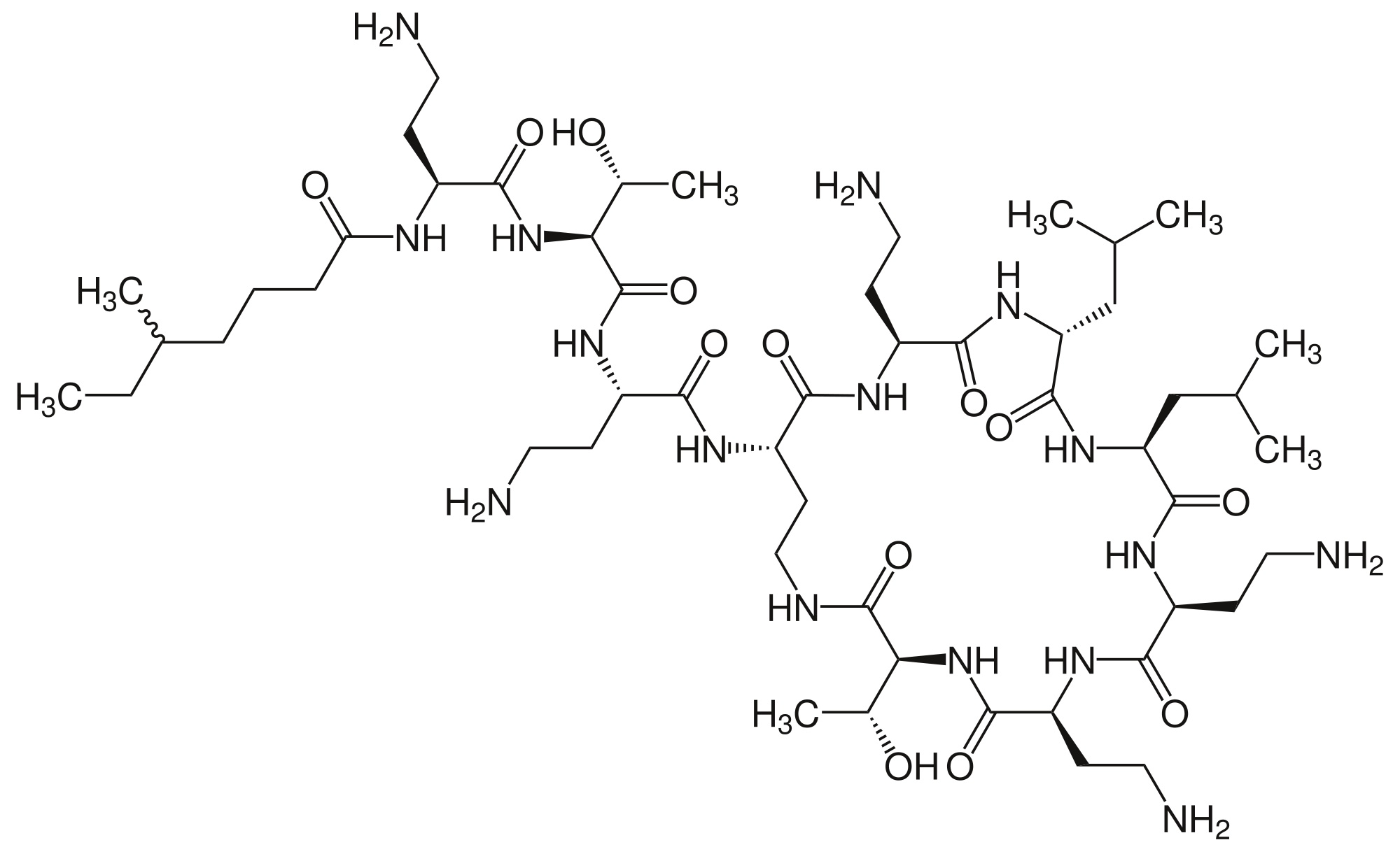
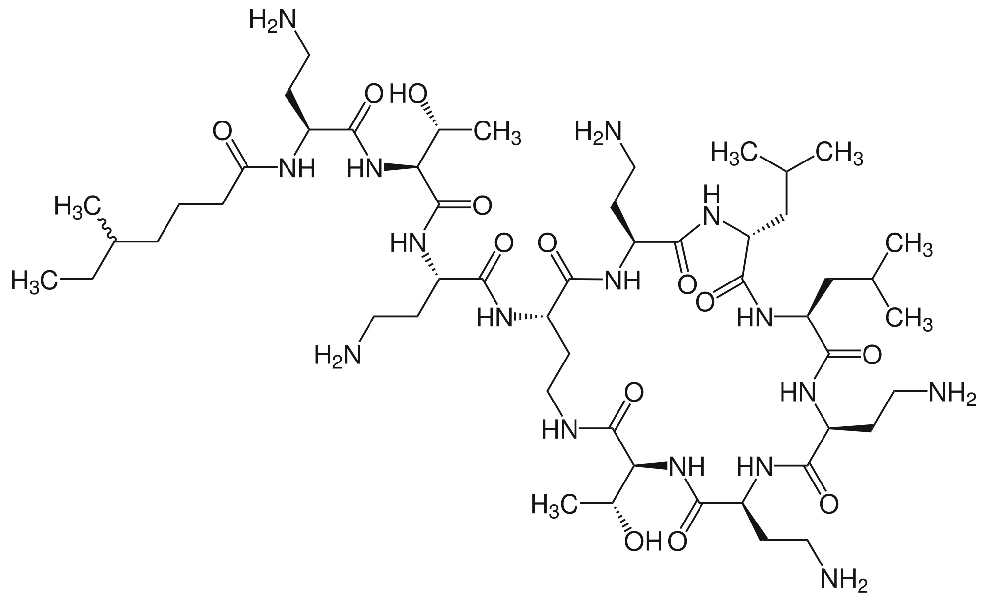
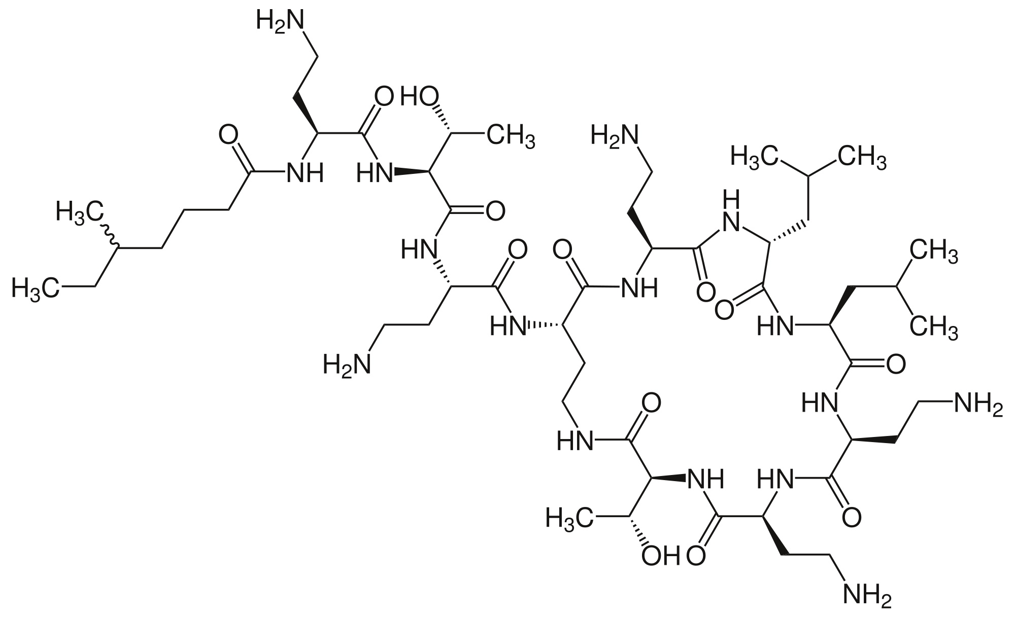
   Cấu trúc hóa học  

Tên thương mại   Tên thương mại     

Các tên thương mại được cung cấp và thành phần tá dược có thể khác nhau giữa các quốc gia và các hãng dược

Alficetin Argentina
Colimicina Ý
Colimycin Na Uy, Thổ Nhĩ Kỳ, Đan Mạch
Colimycine Hà Lan, Luxembourg, Morocco, Pháp, Tunisia
Colismet Peru
Colistimethate Anh, Canada, Hoa Kỳ, Pháp
Colistin Áo, Ba Lan, Hy Lạp, new zealand, Đức
Colistina Argentina, Bồ Đào Nha, Chile
Colistineb Bỉ
Colistyn Argentina
Colixin Slovenia
Colomycin Anh, Canada, Hoa Kỳ, Ireland, Malaysia
Dicupal Chile
Elistin Peru
Kolisod Thổ Nhĩ Kỳ
Nolisin
Promixin Anh, Ireland, Na Uy, Đức
Toliscrin Argentina
Đường dùng   Đường dùng :Colistin mesilate sodium     
Đường dùng
Tiêm tĩnh mạch
Truyền tĩnh mạch
Truyền liên tục
Tiêm bắp

  Mentions Légales