Posledná aktualizácia :
18/03/2026
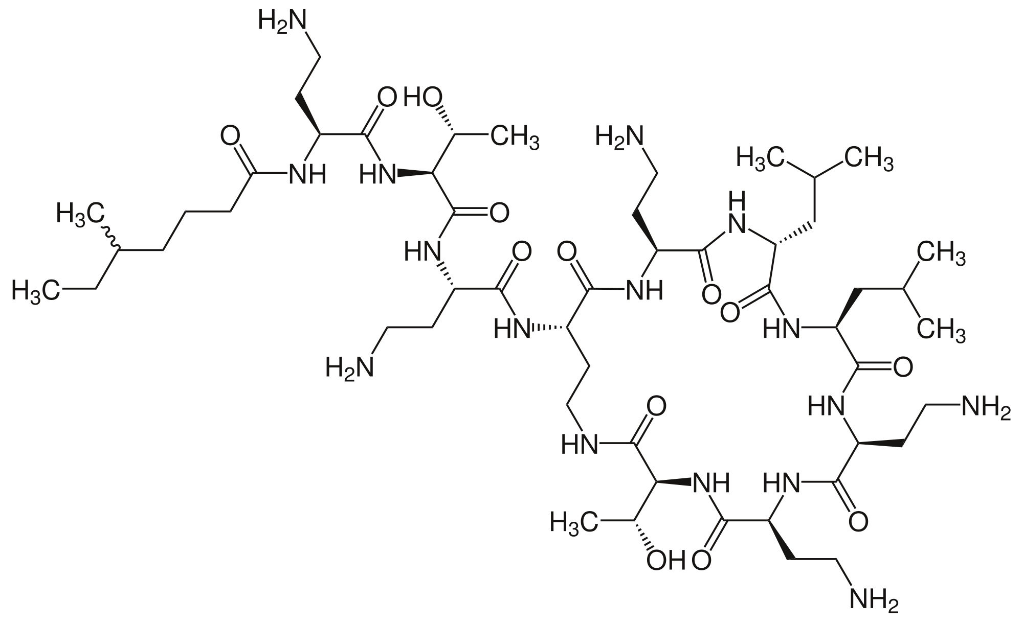
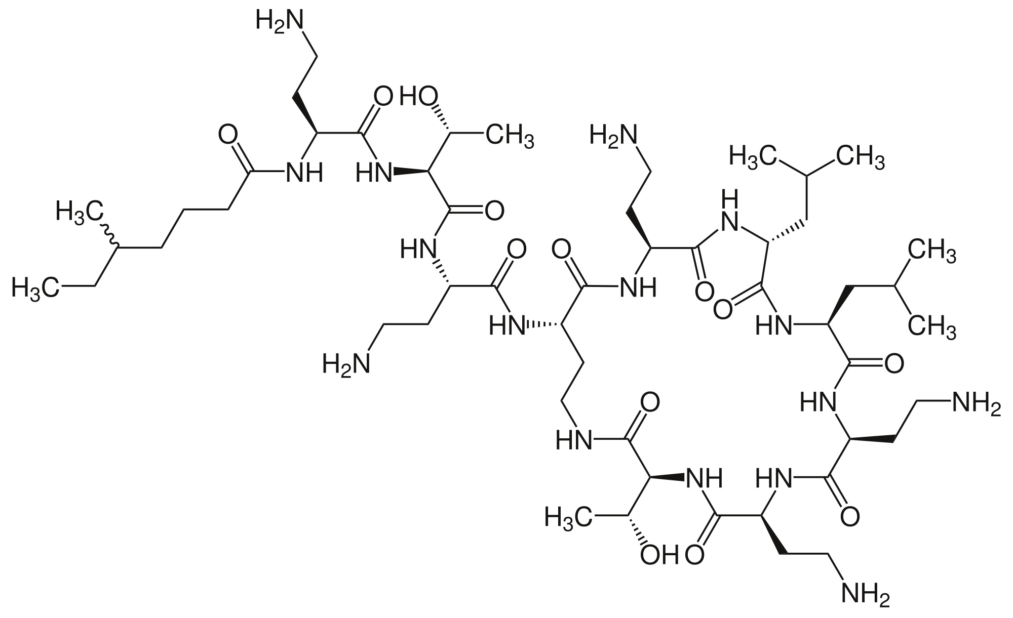
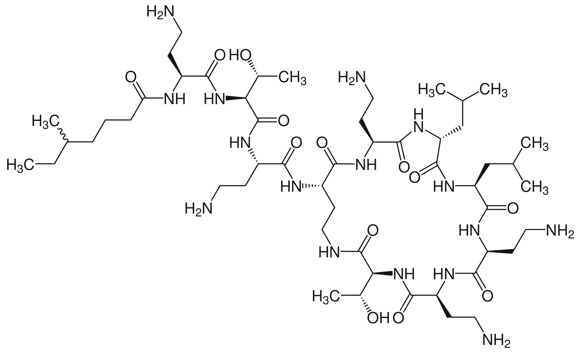
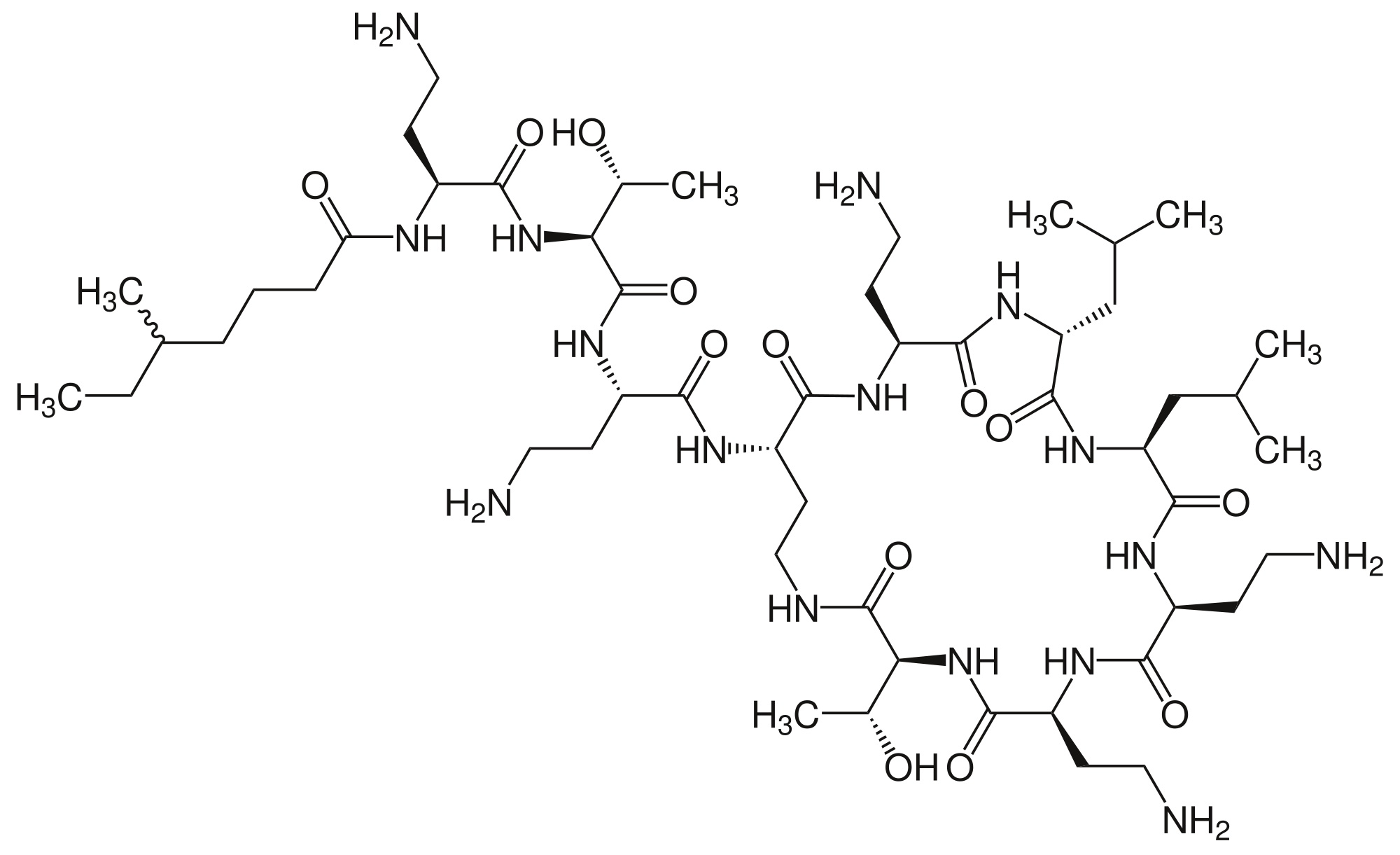
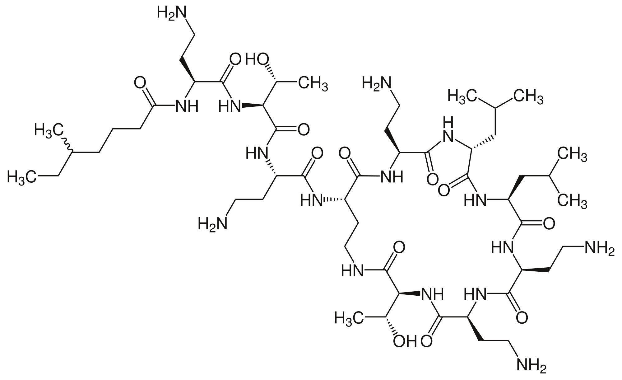
antibiotikum   Colistin mesilate sodium  
Injekcia
Aerosól
Stabilita roztokov Stabilita v zmesiach Faktory ovplyvňujúce stabilitu Kompatibility spôsob podania Odkazy na literatúru PDF
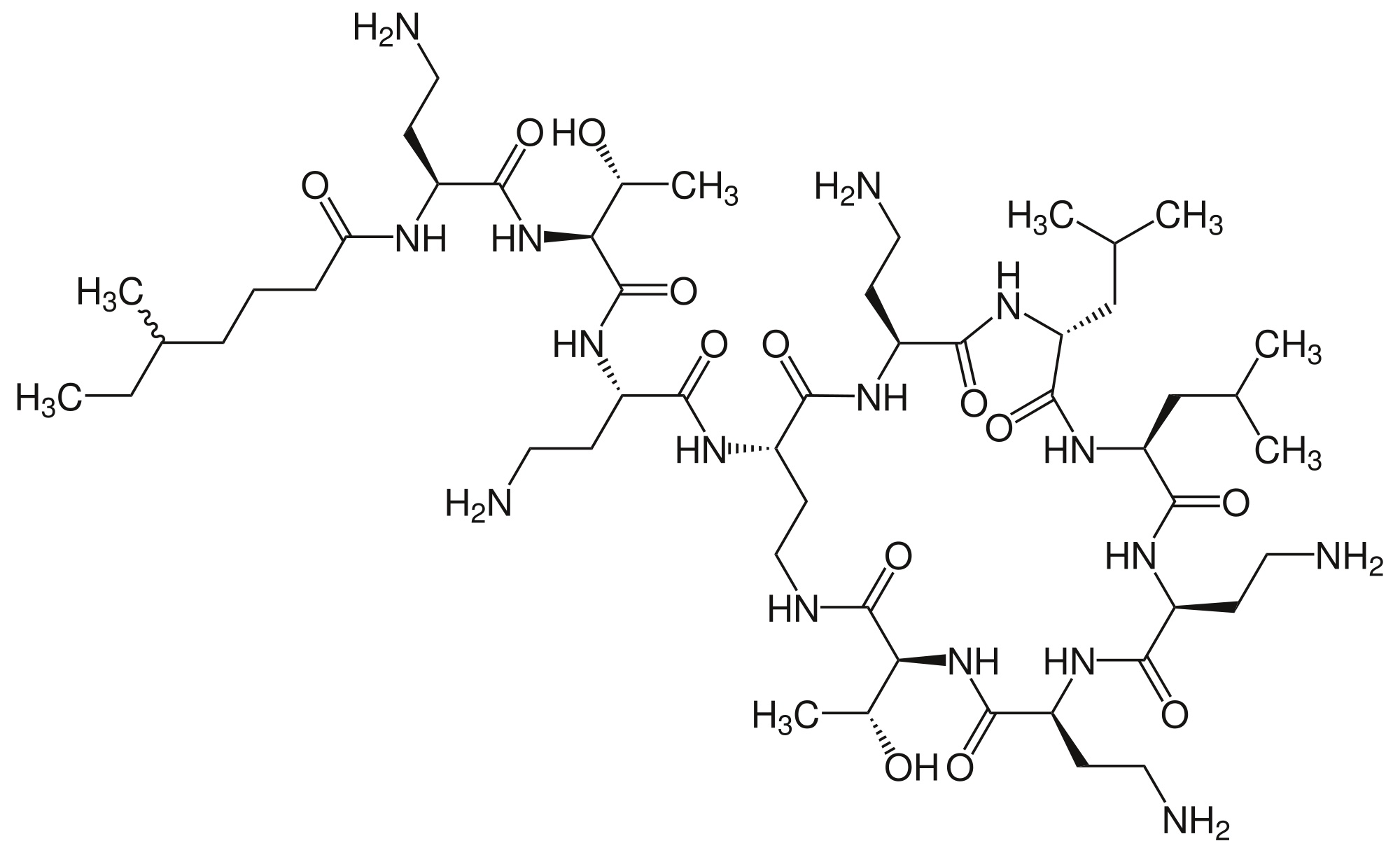
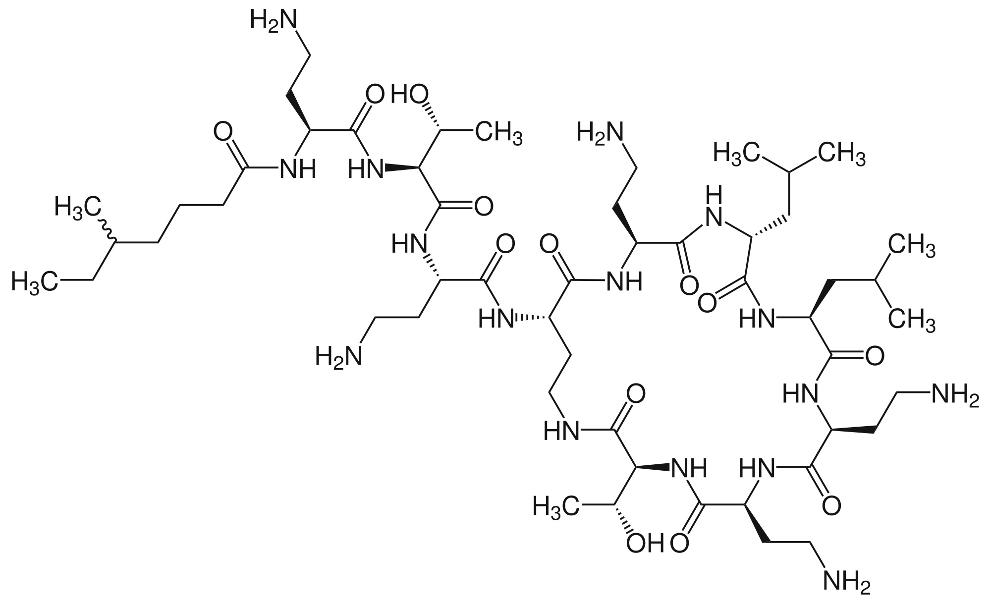
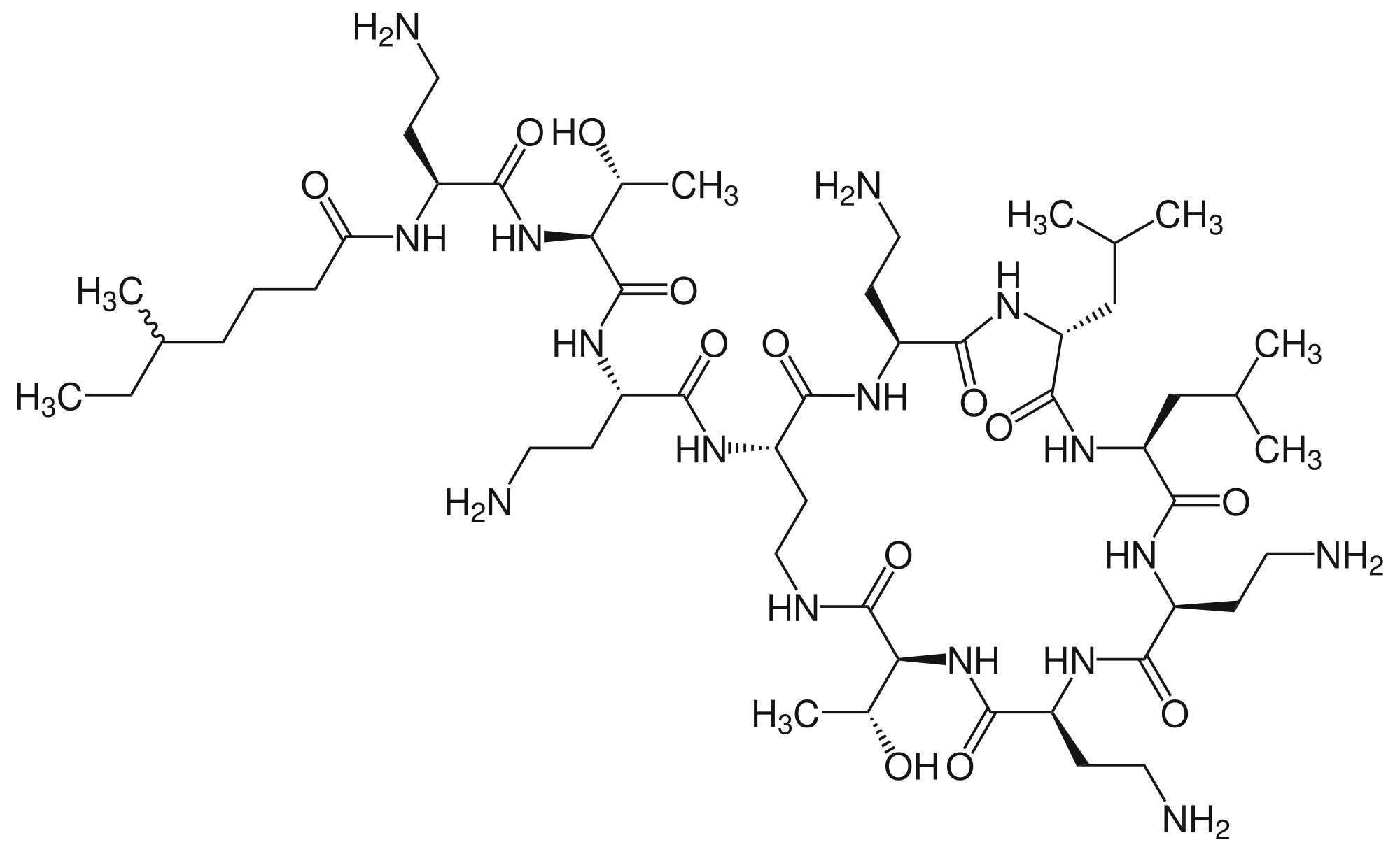
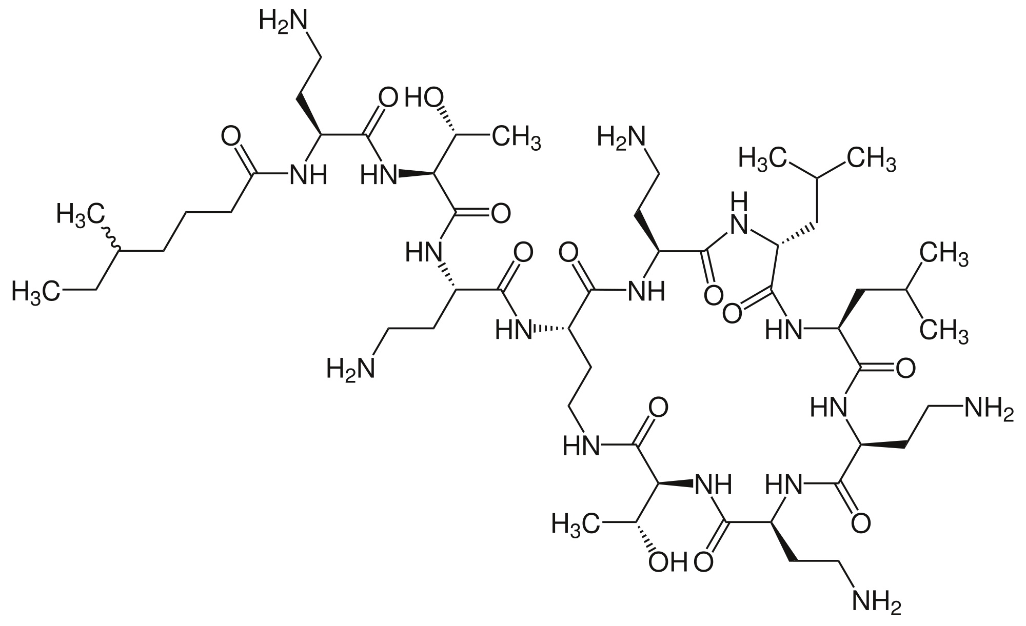
   Chemický vzorec  

Obchodný názov   Obchodný názov     

Obchodné názvy sú orientačné, a zloženie pomocných látok sa môže líšiť v závislosti od krajiny a výrobcu.

Alficetin Argentína
Colimicina Taliansko
Colimycin Dánsko, Nórsko, Turecko
Colimycine Francúzsko, Holandsko, Luxembursko, Maroko, Tunisko
Colismet peru
Colistimethate Francúzsko, Kanada, Spojené štáty Americké, Veľká Británia
Colistin Grécko, Nemecko, nový Zéland, Poľsko, Rakúsko
Colistina Argentína, Čile, Portugalsko
Colistineb Belgicko
Colistyn Argentína
Colixin Slovinsko
Colomycin Írsko, Kanada, Malajzia, Spojené štáty Americké, Veľká Británia
Dicupal Čile
Elistin peru
Kolisod Turecko
Nolisin
Promixin Írsko, Nemecko, Nórsko, Veľká Británia
Toliscrin Argentína
spôsob podania   spôsob podania :Colistin mesilate sodium     
Voie
intravenózne
intravenózna infúzia
kontinuálna infúzia
intramuskulárne

  Mentions Légales