Son güncelleme :
27/11/2025
Antibiyotik   Colistin mesilate sodium  
Enjeksiyon
Aerosol
Çözeltilerin stabilitesi Karışımlardaki stabilitesi Stabiliteyi etkileyen faktörler Uyumluluk Uygulama yöntemi Kaynaklar pdf
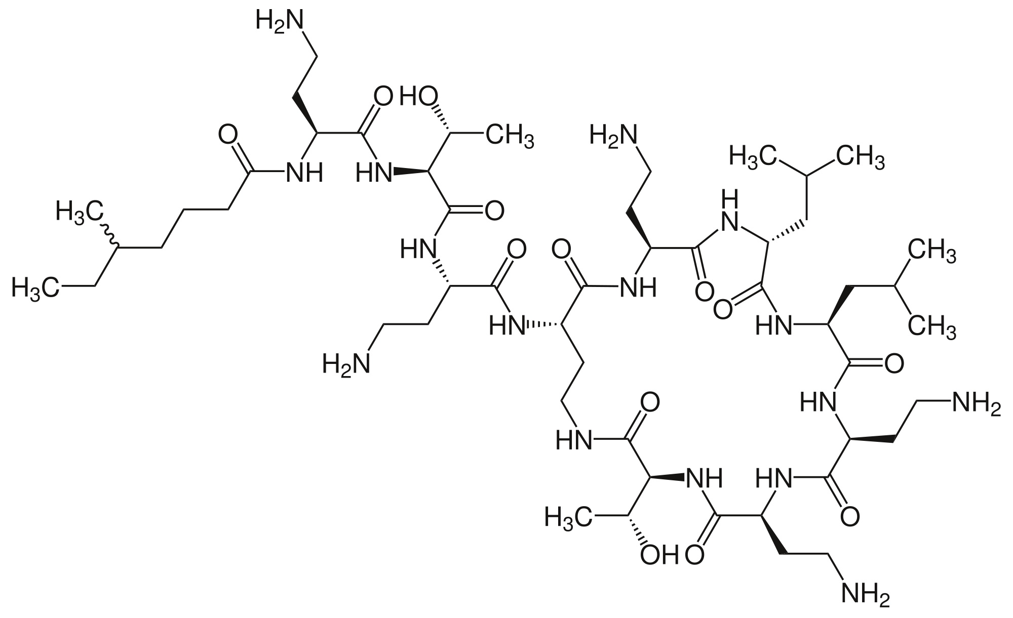
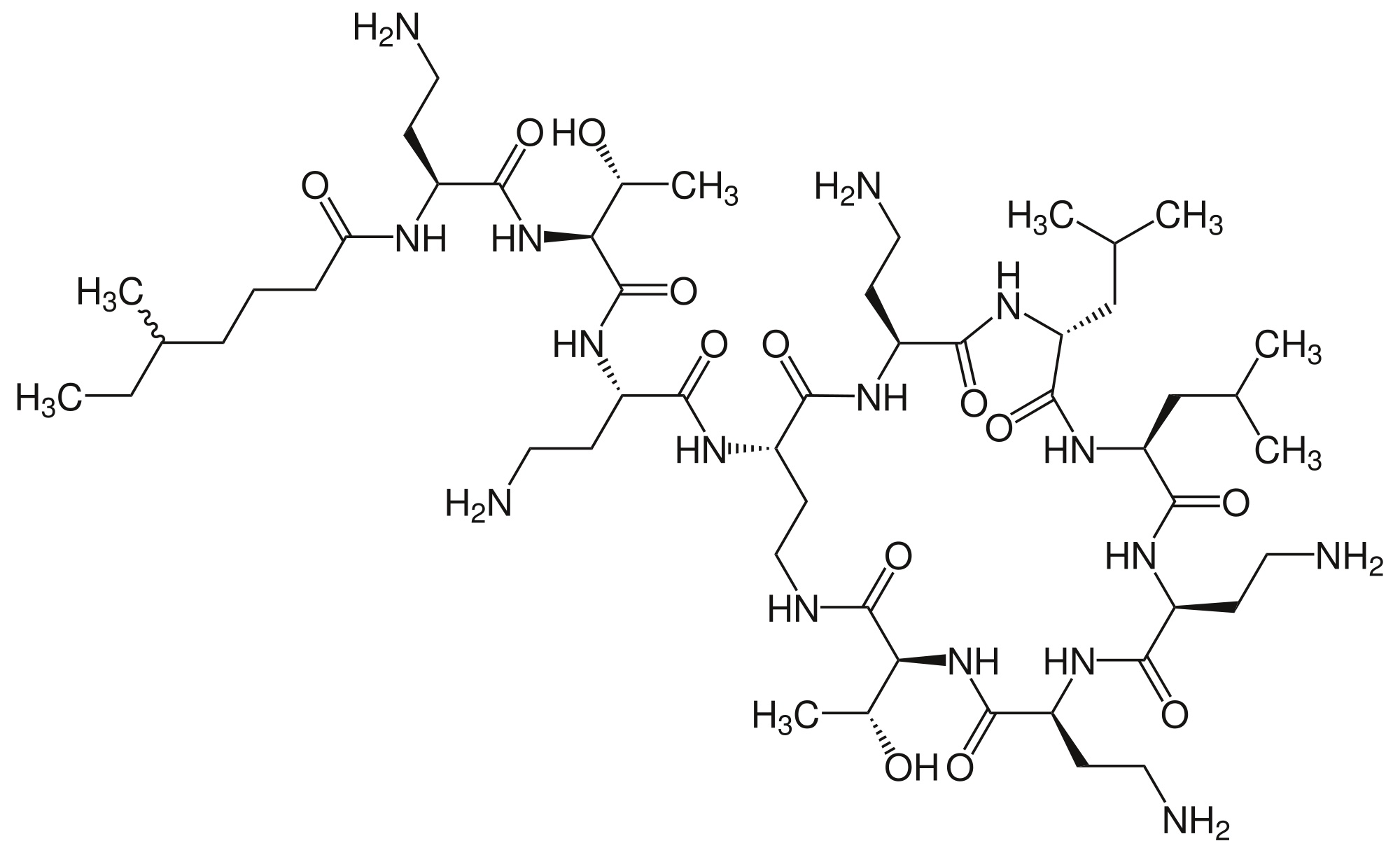
   Kimyasal yapı   

Ticari isim   Ticari isim     

Trade names are indicative and excipients composition can be different depending on the country and manufacturers

Alficetin Arjantin
Colimicina İtalya
Colimycin Danimarka, Norveç, Türkiye
Colimycine Fas, Fransa, Hollanda, Lüksemburg, Tunus
Colismet Peru
Colistimethate Amerika Birleşik Devletleri, Büyük Britanya, Fransa, Kanada
Colistin Almanya, Avusturya, Polonya, yeni Zelanda, Yunanistan
Colistina Arjantin, Portekiz, Şili
Colistineb Belçika
Colistyn Arjantin
Colixin Slovenya
Colomycin Amerika Birleşik Devletleri, Büyük Britanya, İrlanda, Kanada, Malezya
Dicupal Şili
Elistin Peru
Kolisod Türkiye
Nolisin
Promixin Almanya, Büyük Britanya, İrlanda, Norveç
Toliscrin Arjantin
Uygulama yöntemi   Uygulama yöntemi :Colistin mesilate sodium     
Voie
İntravenöz
İntravenöz infüzyon
Sürekli infüzyon
İntramüsküler

  Mentions Légales