Senaste uppdateringen :
18/03/2026
Antibiotikum   Colistin mesilate sodium  
injektion
Aerosol
Lösningars stabilitet Stabilitet i blandningar Faktorer som påverkar stabiliteten Kompatibilitet Administreringssätt Hänvisningar pdf
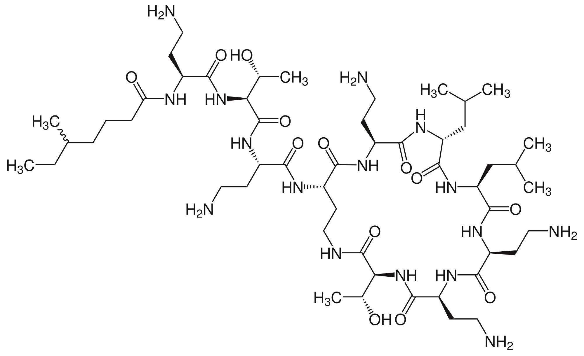
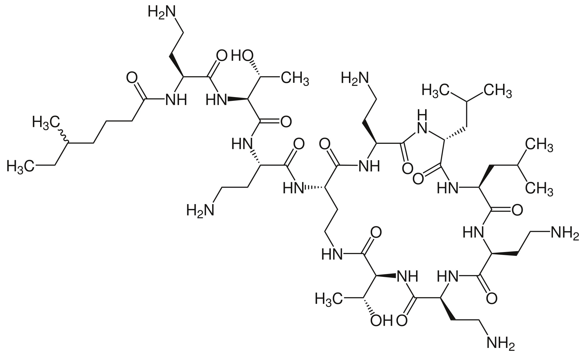
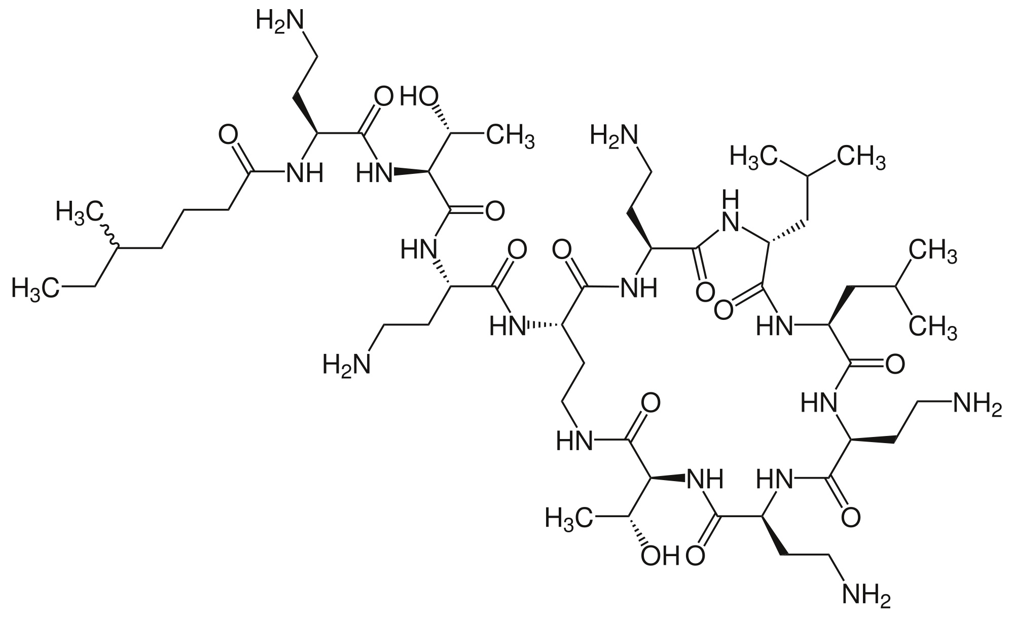
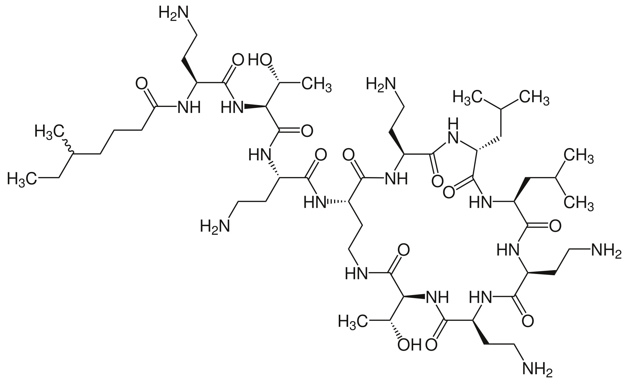
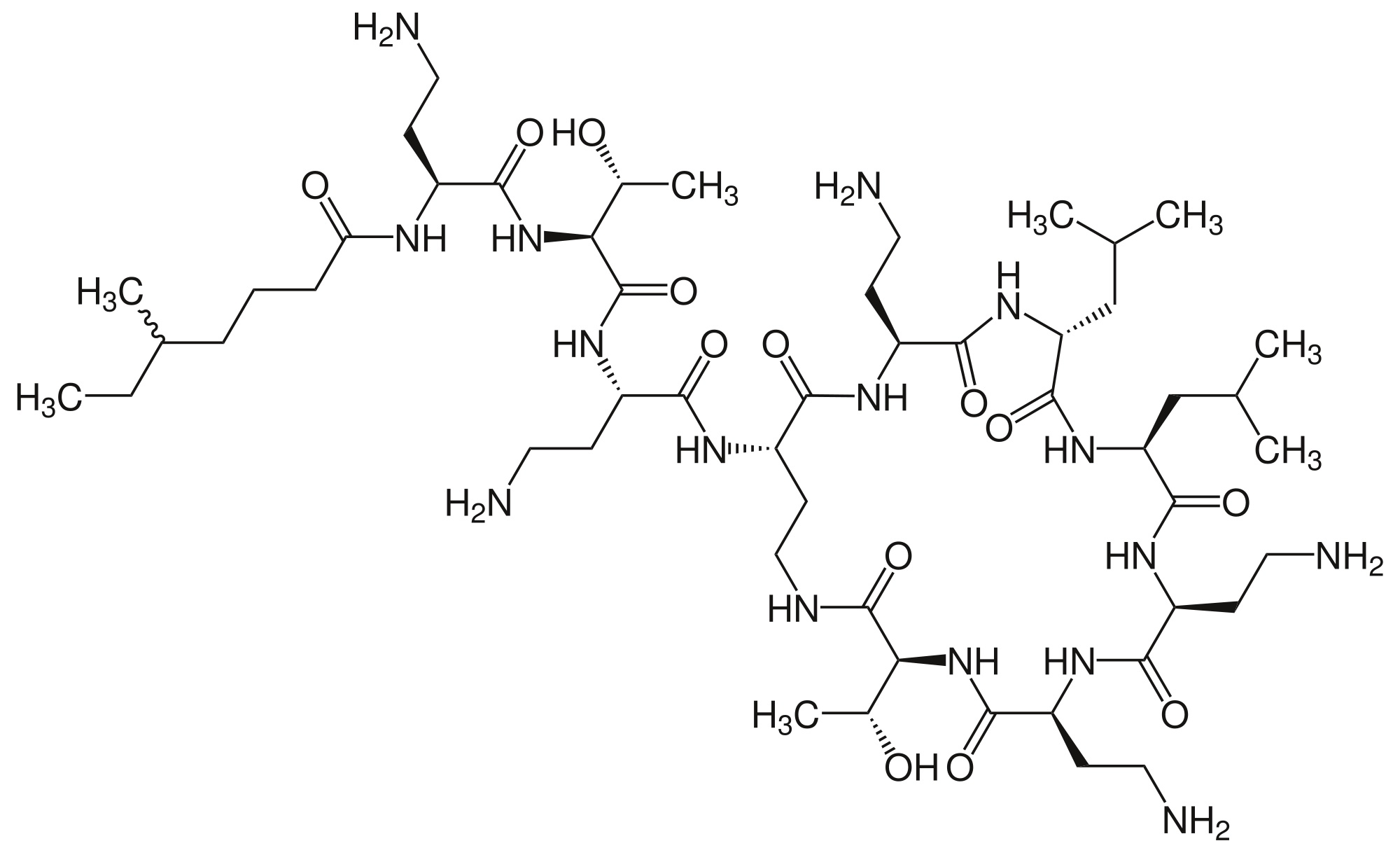
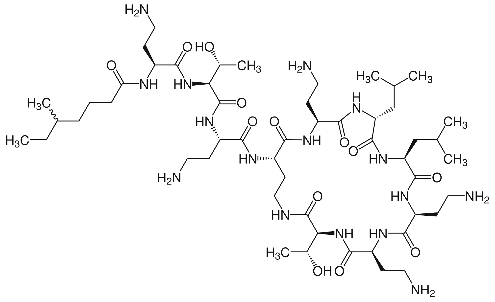
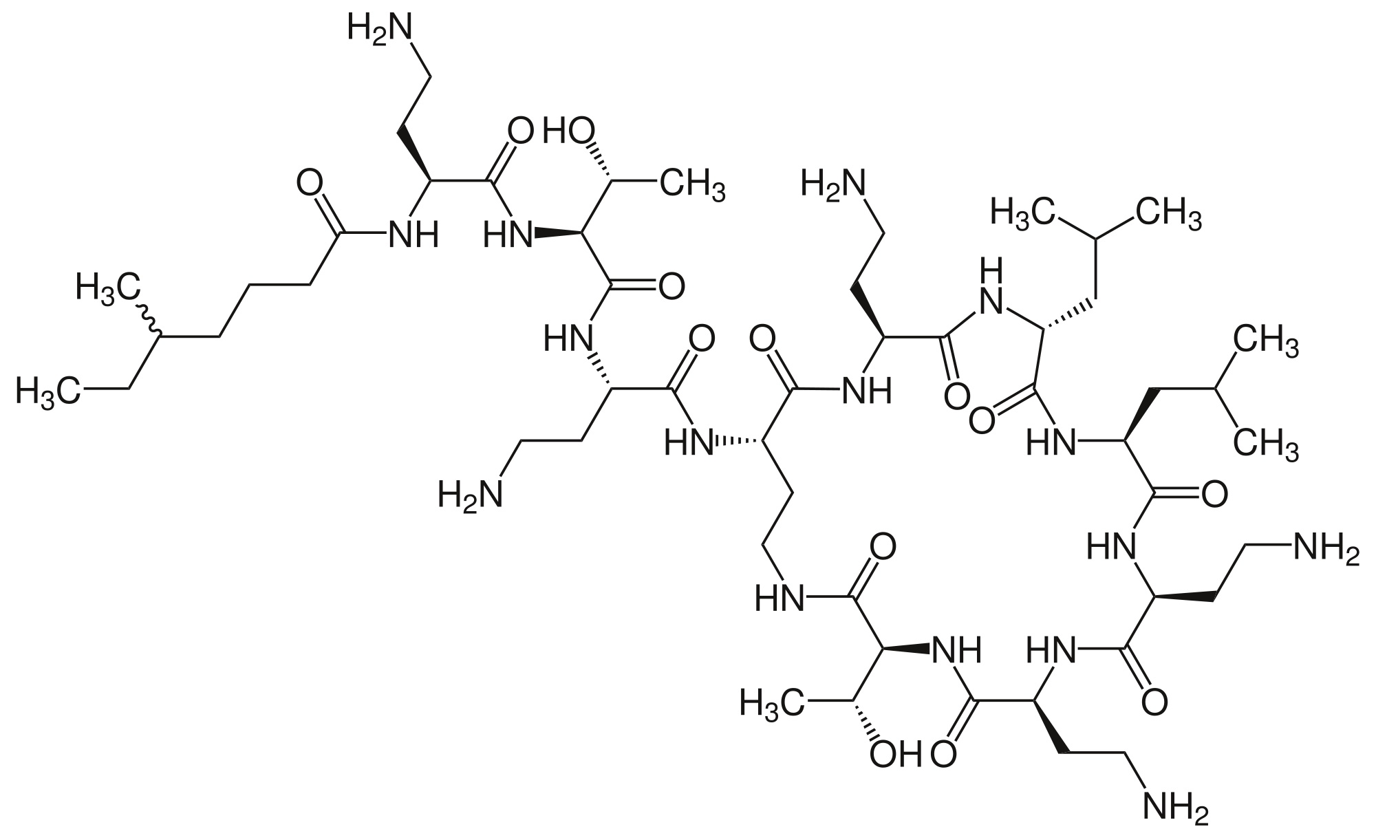
   Molekylstruktur  

Varunamn   Varunamn     

Angivna handelsnamn på läkemedel är enbart vägledande då formulering inklusive hjälpämnen kan variera mellan länder och tillverkare

Alficetin Argentina
Colimicina Italien
Colimycin Danmark, Norge, Turkiet
Colimycine Frankrike, Luxemburg, Marocko, Nederländerna, Tunisien
Colismet Peru
Colistimethate Förenta Staterna, Frankrike, Kanada, Storbritannien
Colistin Grekland, nya Zeeland, Österrike, Polen, Tyskland
Colistina Argentina, Chile, Portugal
Colistineb Belgien
Colistyn Argentina
Colixin Slovenien
Colomycin Förenta Staterna, Irland, Kanada, Malaysia, Storbritannien
Dicupal Chile
Elistin Peru
Kolisod Turkiet
Nolisin
Promixin Irland, Norge, Storbritannien, Tyskland
Toliscrin Argentina
Administreringssätt   Administreringssätt :Colistin mesilate sodium     
Voie
Intravenös
Intravenös infusion
Långtidsinfusion
Intramuskulär

  Mentions Légales