Poslední aktualizace :
27/11/2025
Antibiotikas   Colistin mesilate sodium  
Įpurškimas
Aerozolis
Tirpalų stabilumas Mišinių stabilumas Stabilumą lemiantys veiksniai Suderinamumas Leidimo būdai Bibliografija pdf
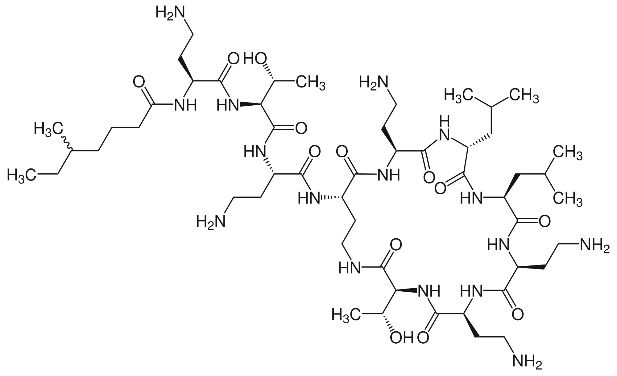
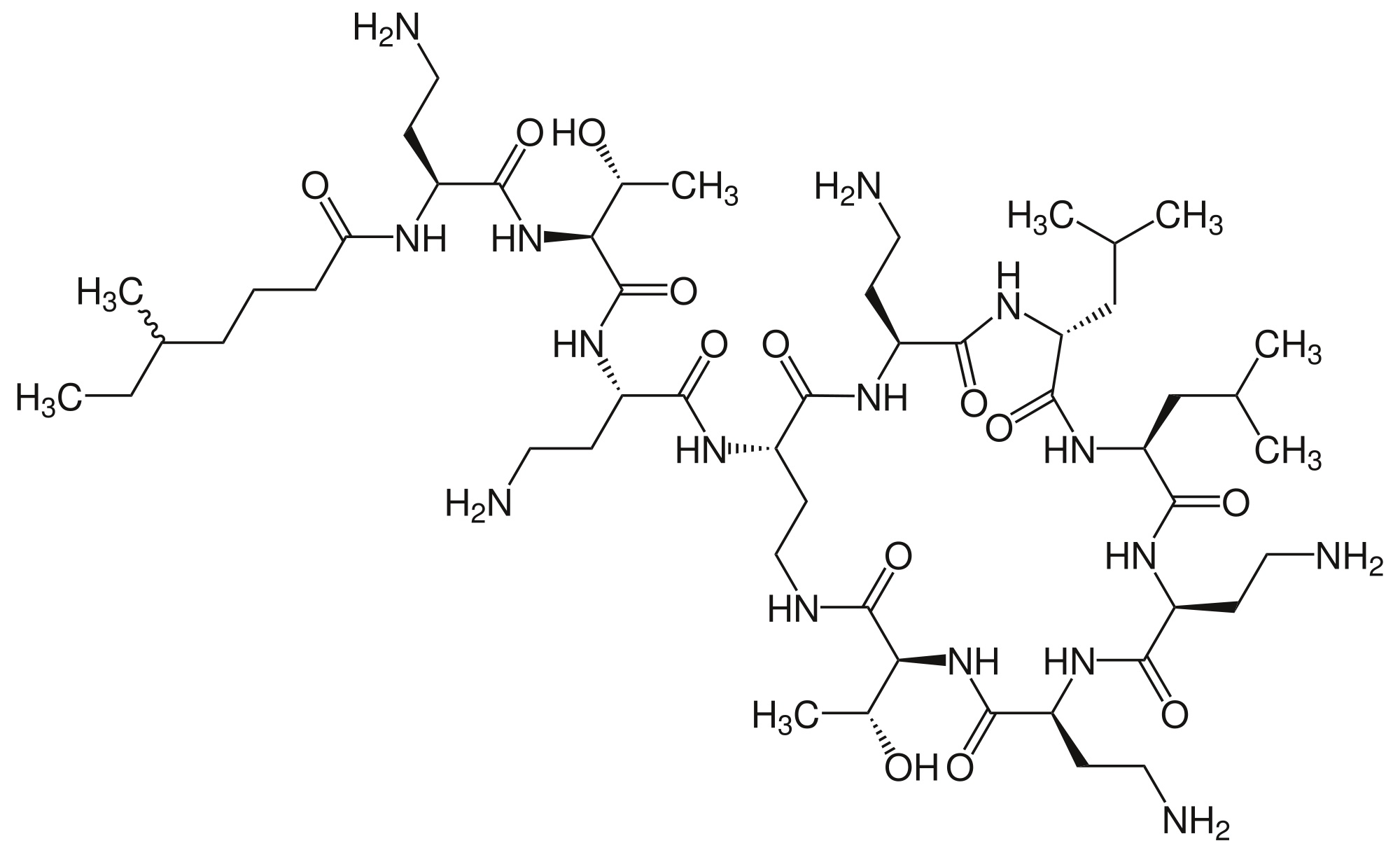
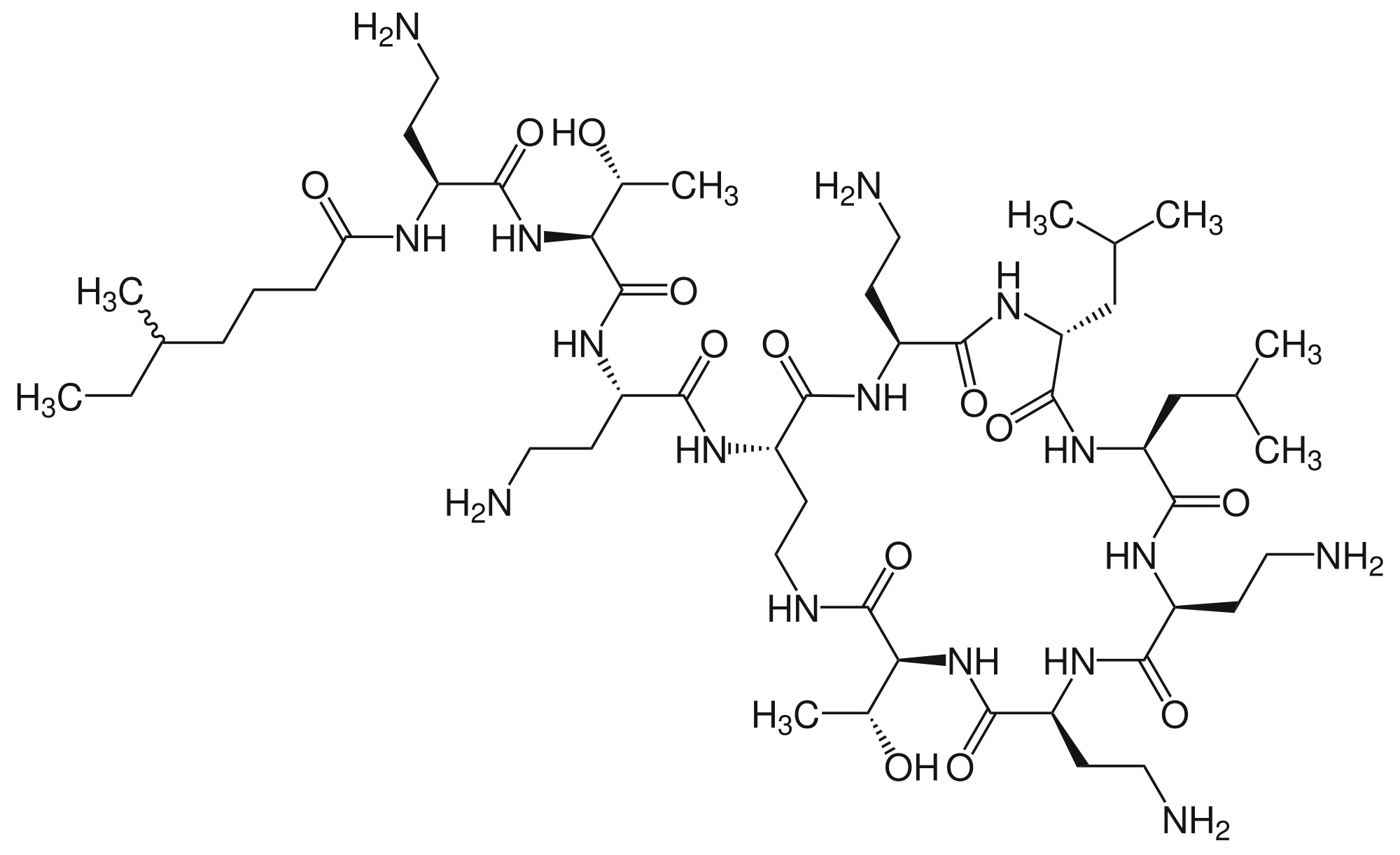
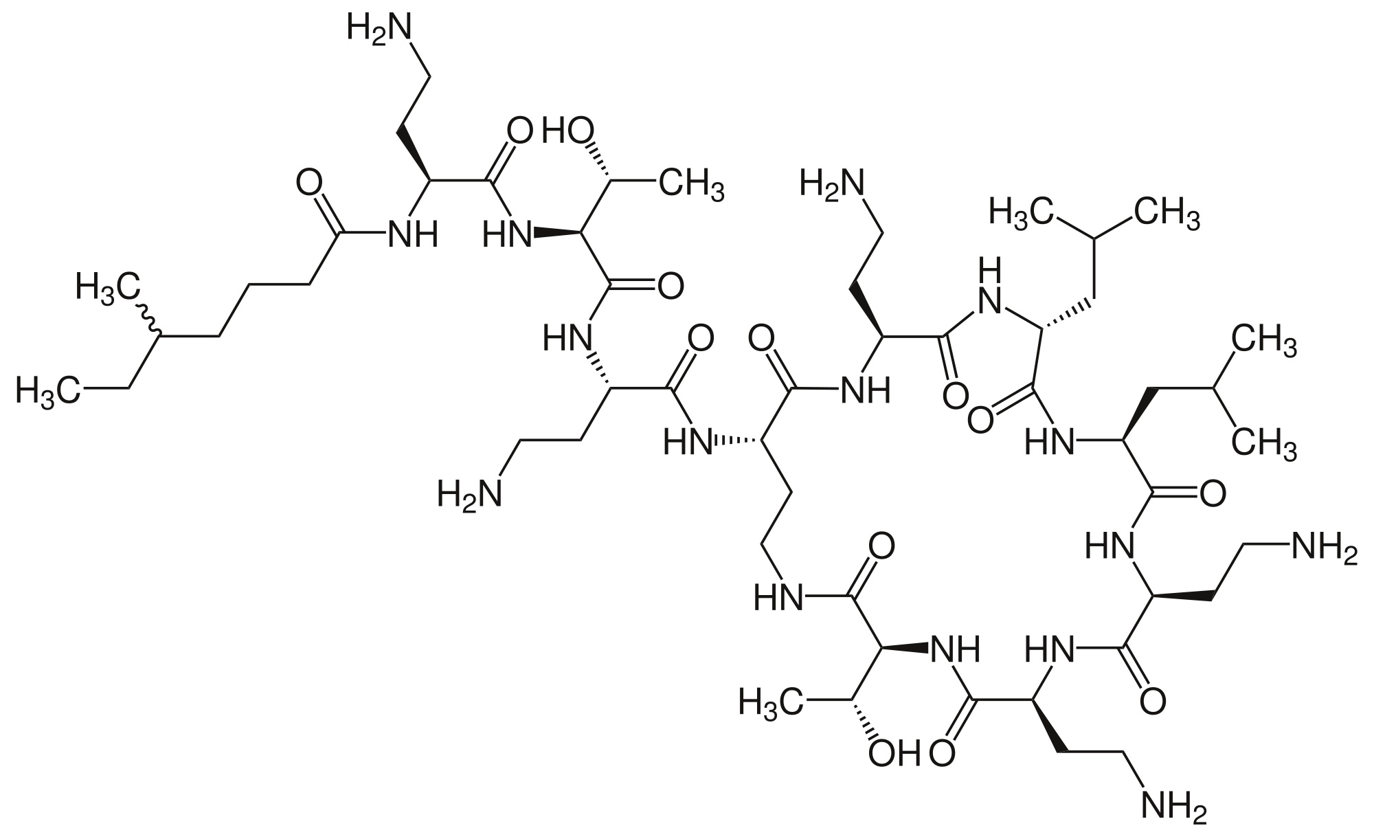
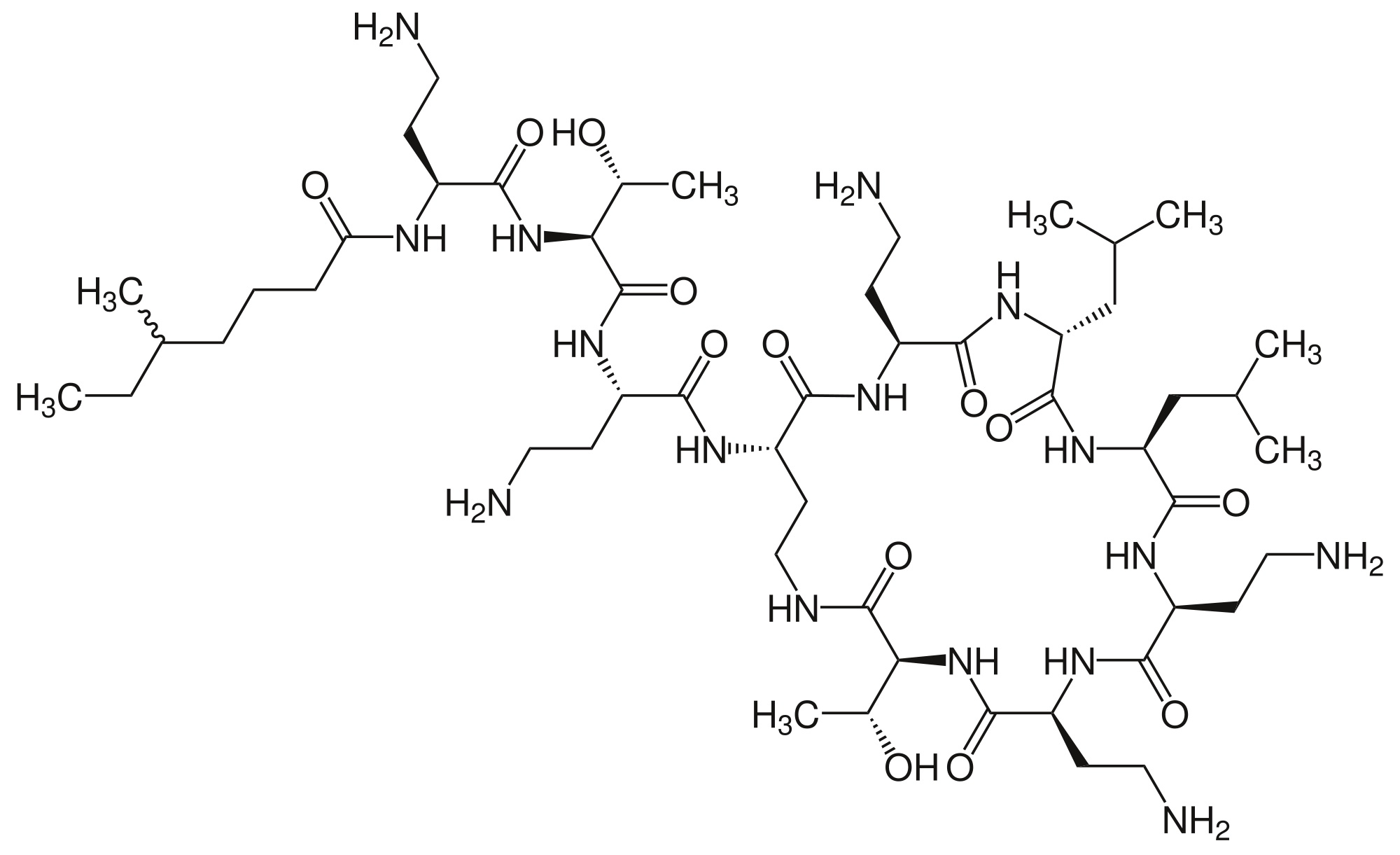
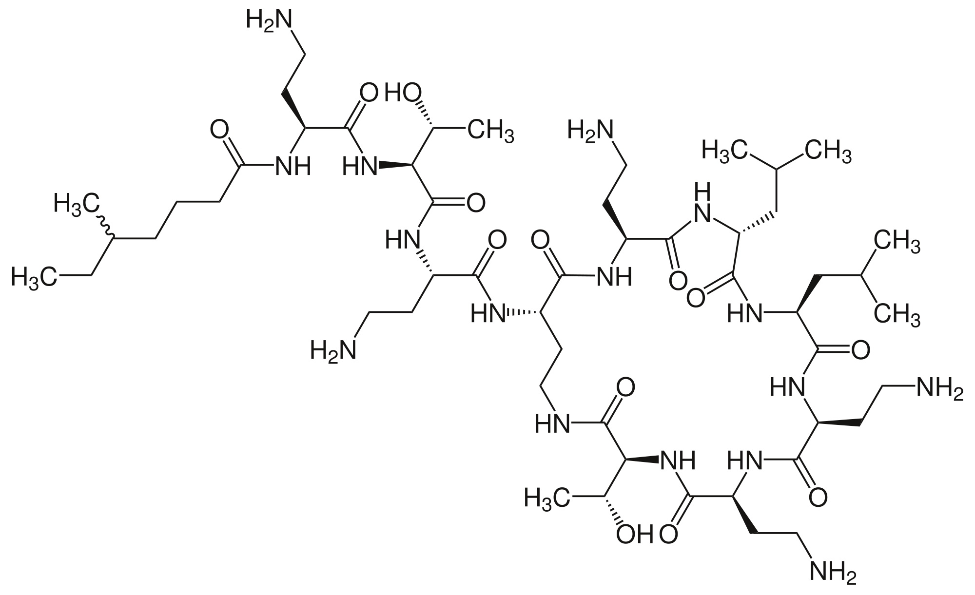
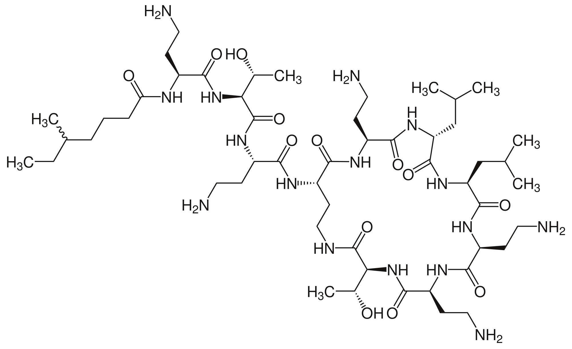
   Cheminė sandara  

Prekinis pavadinimas   Prekinis pavadinimas     

Trade names are indicative and excipients composition can be different depending on the country and manufacturers

Alficetin Argentina
Colimicina Italija
Colimycin Danija, Norvegija, Turkija
Colimycine Liuksemburgas, Marokas, Olandija, Prancūzija, Tunisas
Colismet Peru
Colistimethate Didžioji Britanija, Jungtinės Amerikos Valstijos, Kanada, Prancūzija
Colistin Austrija, Graikija, Lenkija, Naujojoje Zelandijoje, Vokietija
Colistina Argentina, Čilė, Portugalija
Colistineb Belgija
Colistyn Argentina
Colixin Slovėnija
Colomycin Airija, Didžioji Britanija, Jungtinės Amerikos Valstijos, Kanada, Malaizija
Dicupal Čilė
Elistin Peru
Kolisod Turkija
Nolisin
Promixin Airija, Didžioji Britanija, Norvegija, Vokietija
Toliscrin Argentina
Leidimo būdai   Leidimo būdai :Colistin mesilate sodium     
Voie
Intraveninis
Intraveninė infuzija
Pastovi infuzija
Intramuskulinis

  Mentions Légales