zadnja posodobitev :
27/11/2025
Splo_ni anestetik   Amobarbital sodium  
Brizgalka
Stabilnost raztopine Stabilnost mešanice Faktorji, ki vplivajo na stabilnost Kompatibilnost način aplikacije Viri pdf
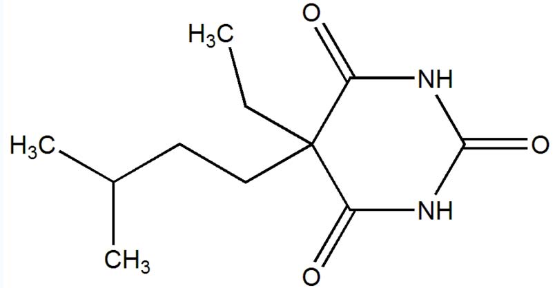
   Kemična formula  

Lastniško ime   Lastniško ime     

Sestava pomožnih snovi je med paralelami lahko različna

Amytal Sodium Združene države Amerike
Kompatibilnost   Brizgalka   Kompatibilnost : Amobarbital sodium              
Ta zaslon prikazuje združljivost ali nezdružljivost s, v tem primeru, vrsto nezdružljivosti (padavine, sprememba barve, sprememba emulzije itd.). Tu prikazane združljivosti so večinoma samo fizične, pri čemer se kemijska stabilnost vsake molekule redko ocenjuje. Vrednotenje teh zmesi so preučevali, da bi preučili možnost pacientovega dajanja na mestu Y. Teh podatkov ni mogoče uporabiti za pripravo mešanic v vrečkah ali brizgah. Ta vrsta informacij je na voljo na zaslonu "Obstojnost v mešanici".
Sestava Topilo Viri

  Mentions Légales