Ultimele actualizari :
18/03/2026
Antibiotic   Daptomycin  
Injectabil
Stabilitatea in solutie Stabilitatea in amestec Factorii care influenteaza stabilitatea Compatibilitate Microunde Bibliografie pdf
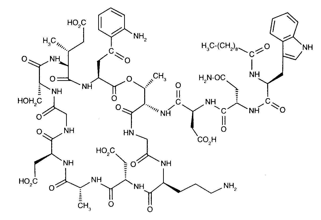
   Formula chimica  

Denumirea comerciala   Denumirea comerciala     

Trade names are indicative and excipients composition can be different depending on the country and manufacturers

Cubicin Argentina, Australia, Austria, Canada, Chilli, Columbia, Danemarca, Elvetia, Finlanda, Franta, Germania, Grecia, India, Irlanda, Islanda, Italia, Japonia, Malaezia, Marea Britanie, Mexic, Norvegia, noua Zeelandă, Olanda, Polonia, Portugalia, Romania, Spania, SUA, Suedia, Turcia, Ungaria, Venezuela
Daptomicina Argentina, Italia, Spania
Daptomicine Finlanda, Germania, Marea Britanie, Norvegia, Ungaria
Exfuno Brazilia, Chilli
Stenkivar Nigeria
Trisk Brazilia
Stabilitatea in solutie   Injectabil   Stabilitatea in solutie : Daptomycin     
Continut Solvent Concentratie Temperatura Conservare Durata stabilității Bibiografie
sticla apa pentru preparate injectabile 50 mg/ml 2-8°C Neprecizat
48 Ora
2271
Documentele de stabilitate ale producătorului

sticla apa pentru preparate injectabile 50 mg/ml 25°C Neprecizat
12 Ora
2271
Documentele de stabilitate ale producătorului

sticla clorura de sodiu 0,9% 50 mg/ml 2-8°C Neprecizat
48 Ora
2271
Documentele de stabilitate ale producătorului

sticla clorura de sodiu 0,9% 50 mg/ml 2-8°C Ferit de lumina
7 Ziua
4074
Nivel de evidență C

sticla clorura de sodiu 0,9% 50 mg/ml 25°C Neprecizat
12 Ora
2271
Documentele de stabilitate ale producătorului

sticla clorura de sodiu 0,9% 50 mg/ml 25°C Ferit de lumina
2 Ziua
4074
Nivel de evidență C

sticla Physionéal® 1.36 (Baxter) 100 mg/ml 25°C Ferit de lumina
6 Ora
3218
Nivel de evidență D

sticla Physionéal® 1.36 (Baxter) 100 mg/ml 37°C Ferit de lumina
6 Ora
3218
Nivel de evidență D

sticla Physionéal® 1.36 (Baxter) 100 mg/ml 4°C Ferit de lumina
24 Ora
3218
Nivel de evidență D

clorura de polivinil Extraneal® (Baxter) 0,070 mg/ml 25°C Neprecizat
24 Ora
4936
Nivel de evidență D

clorura de polivinil Extraneal® (Baxter) 0,245 mg/ml 25°C Neprecizat
48 Ora
4936
Nivel de evidență D

clorura de polivinil Nutrineal® 50 & 200 mg/ml 37°C Ferit de lumina
6 Ora
3218
Nivel de evidență D

clorura de polivinil Nutrineal® 50 & 200 mg/ml 4°C Ferit de lumina
24 Ora
3218
Nivel de evidență D

clorura de polivinil Physionéal® 1.36 (Baxter) 0.02 mg/ml 25°C Neprecizat
24 Ora
3439
Nivel de evidență D

clorura de polivinil Physionéal® 1.36 (Baxter) 0.02 mg/ml 37°C Neprecizat
6 Ora
3439
Nivel de evidență D

clorura de polivinil Physionéal® 1.36 (Baxter) 50 & 200 mg/ml 25°C Ferit de lumina
6 Ora
3218
Nivel de evidență D

clorura de polivinil Physionéal® 1.36 (Baxter) 50 & 200 mg/ml 37°C Ferit de lumina
6 Ora
3218
Nivel de evidență D

clorura de polivinil Physionéal® 1.36 (Baxter) 50 & 200 mg/ml 4°C Ferit de lumina
24 Ora
3218
Nivel de evidență D

clorura de polivinil Physionéal® 2.27 (Baxter) 0.02 mg/ml 25°C Neprecizat
24 Ora
3439
Nivel de evidență D

clorura de polivinil Physionéal® 2.27 (Baxter) 0.02 mg/ml 37°C Neprecizat
6 Ora
3439
Nivel de evidență D

clorura de polivinil Dianéal® 2.5% glucose (Baxter) 0,070 mg/ml 25°C Neprecizat
24 Ora
4936
Nivel de evidență D

clorura de polivinil Dianéal® 2.5% glucose (Baxter) 0,245 mg/ml 25°C Neprecizat
12 Ora
4936
Nivel de evidență D

polipropilen clorura de sodiu 0,9% 14 mg/ml 2-8°C Ferit de lumina
7 Ziua
4074
Nivel de evidență C

polipropilen clorura de sodiu 0,9% 14 mg/ml 25°C Ferit de lumina
4 Ziua
4074
Nivel de evidență C

polipropilen clorura de sodiu 0,9% 5,6 mg/ml 2-8°C Ferit de lumina
7 Ziua
4074
Nivel de evidență C

polipropilen clorura de sodiu 0,9% 5,6 mg/ml 25°C Ferit de lumina
2 Ziua
4074
Nivel de evidență C

neprecizat clorura de sodiu 0,9% ? mg/ml 2-8°C Neprecizat
24 Ora
2271
Documentele de stabilitate ale producătorului

neprecizat clorura de sodiu 0,9% ? mg/ml 25°C Neprecizat
12 Ora
2271
Documentele de stabilitate ale producătorului


  Mentions Légales