Viimeisin päivitys :
18/03/2026
Antibiootit   Daptomycin  
Injektioneste
Stabilius liuoksessa Stabilius seoksissa Tekijät, jotka vaikuttavat stabiliuteen Yhteensopivuus Antotapa Viitteet pdf
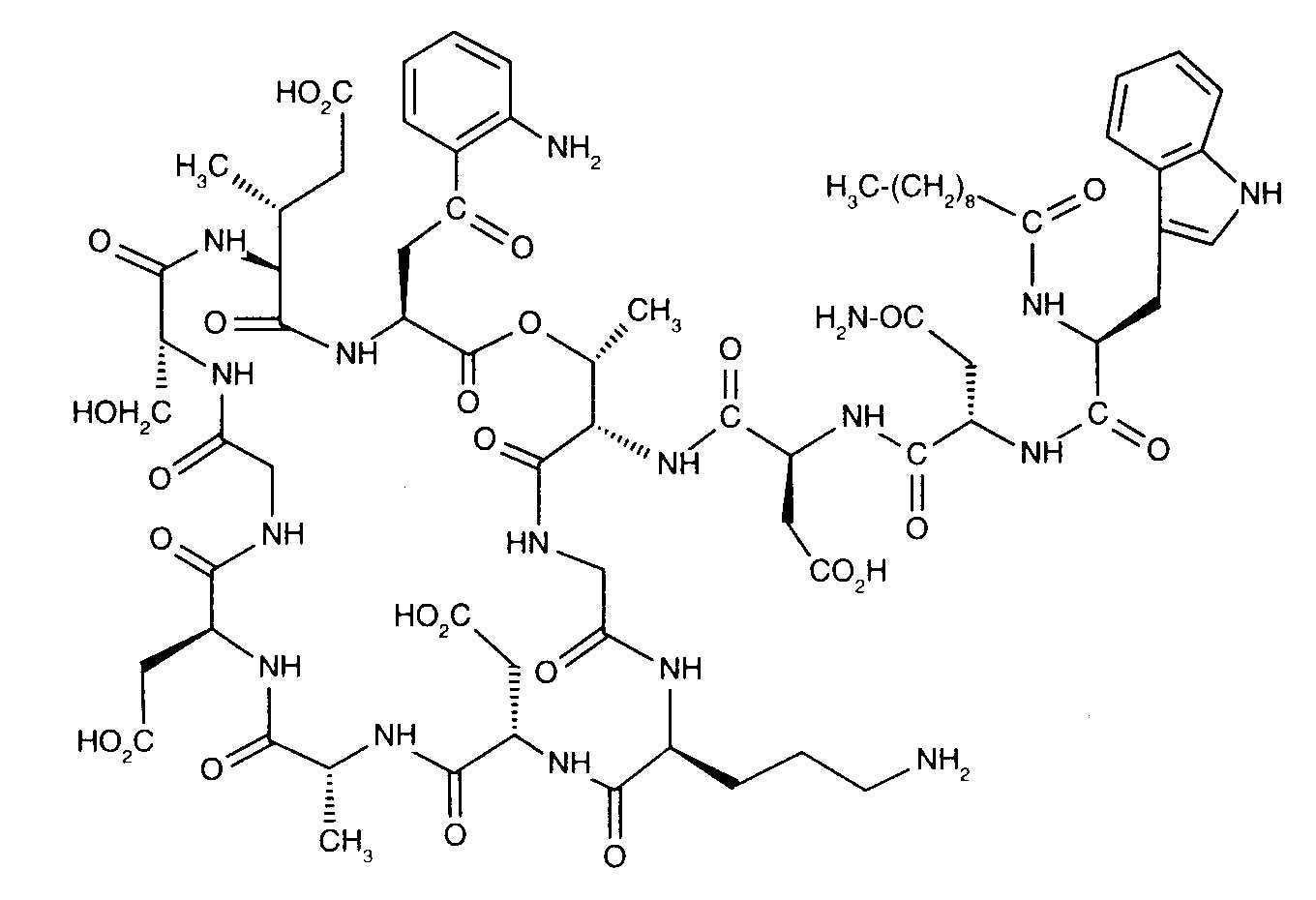
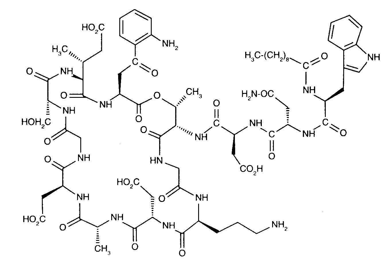
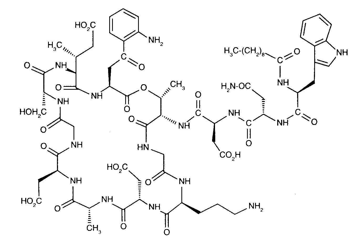
   Kemiallinen rakenne  

Kauppanimi   Kauppanimi     

Trade names are indicative and excipients composition can be different depending on the country and manufacturers

Cubicin Argentiina, Australia, Chile, Espanja, Hollanti, Intia, Irlanti, Islanti, Iso-Britannia, Italia, Itävalta, Japani, Kanada, Kolumbia, Kreikka, Malesia, Meksiko, New Zealand, Norja, Portugali, Puola, Ranska, Romania, Ruotsi, Saksa, Suomi, Sveitsi, Tanska, Turkki, Unkari, Venezuela, Yhdysvallat
Daptomicina Argentiina, Espanja, Italia
Daptomicine Iso-Britannia, Norja, Saksa, Suomi, Unkari
Exfuno Brasilia, Chile
Stenkivar Nigeria
Trisk Brasilia
Stabilius liuoksessa   Injektioneste   Stabilius liuoksessa : Daptomycin     
Astia Liuotin Konsentraatio Lämpötila Säilytys Vakauden kesto Viitteet
Lasi Injektionesteisiin käytettävä vesi 50 mg/ml 2-8°C Ei määritetty
48 tunti
2271
Valmistajan antamat stabiiliustiedot

Lasi Injektionesteisiin käytettävä vesi 50 mg/ml 25°C Ei määritetty
12 tunti
2271
Valmistajan antamat stabiiliustiedot

Lasi Natriumkloridi 0,9% 50 mg/ml 2-8°C Ei määritetty
48 tunti
2271
Valmistajan antamat stabiiliustiedot

Lasi Natriumkloridi 0,9% 50 mg/ml 2-8°C Suojattava valolta
7 Päivä
4074
Näytön laajuus C

Lasi Natriumkloridi 0,9% 50 mg/ml 25°C Ei määritetty
12 tunti
2271
Valmistajan antamat stabiiliustiedot

Lasi Natriumkloridi 0,9% 50 mg/ml 25°C Suojattava valolta
2 Päivä
4074
Näytön laajuus C

Lasi Physionéal® 1.36 (Baxter) 100 mg/ml 25°C Suojattava valolta
6 tunti
3218
Näytön laajuus D

Lasi Physionéal® 1.36 (Baxter) 100 mg/ml 37°C Suojattava valolta
6 tunti
3218
Näytön laajuus D

Lasi Physionéal® 1.36 (Baxter) 100 mg/ml 4°C Suojattava valolta
24 tunti
3218
Näytön laajuus D

Polyvinyylikloridi Extraneal® (Baxter) 0,070 mg/ml 25°C Ei määritetty
24 tunti
4936
Näytön laajuus D

Polyvinyylikloridi Extraneal® (Baxter) 0,245 mg/ml 25°C Ei määritetty
48 tunti
4936
Näytön laajuus D

Polyvinyylikloridi Nutrineal® 50 & 200 mg/ml 37°C Suojattava valolta
6 tunti
3218
Näytön laajuus D

Polyvinyylikloridi Nutrineal® 50 & 200 mg/ml 4°C Suojattava valolta
24 tunti
3218
Näytön laajuus D

Polyvinyylikloridi Physionéal® 1.36 (Baxter) 0.02 mg/ml 25°C Ei määritetty
24 tunti
3439
Näytön laajuus D

Polyvinyylikloridi Physionéal® 1.36 (Baxter) 0.02 mg/ml 37°C Ei määritetty
6 tunti
3439
Näytön laajuus D

Polyvinyylikloridi Physionéal® 1.36 (Baxter) 50 & 200 mg/ml 25°C Suojattava valolta
6 tunti
3218
Näytön laajuus D

Polyvinyylikloridi Physionéal® 1.36 (Baxter) 50 & 200 mg/ml 37°C Suojattava valolta
6 tunti
3218
Näytön laajuus D

Polyvinyylikloridi Physionéal® 1.36 (Baxter) 50 & 200 mg/ml 4°C Suojattava valolta
24 tunti
3218
Näytön laajuus D

Polyvinyylikloridi Physionéal® 2.27 (Baxter) 0.02 mg/ml 25°C Ei määritetty
24 tunti
3439
Näytön laajuus D

Polyvinyylikloridi Physionéal® 2.27 (Baxter) 0.02 mg/ml 37°C Ei määritetty
6 tunti
3439
Näytön laajuus D

Polyvinyylikloridi Dianéal® 2.5% glucose (Baxter) 0,070 mg/ml 25°C Ei määritetty
24 tunti
4936
Näytön laajuus D

Polyvinyylikloridi Dianéal® 2.5% glucose (Baxter) 0,245 mg/ml 25°C Ei määritetty
12 tunti
4936
Näytön laajuus D

Polypropyleeni Natriumkloridi 0,9% 14 mg/ml 2-8°C Suojattava valolta
7 Päivä
4074
Näytön laajuus C

Polypropyleeni Natriumkloridi 0,9% 14 mg/ml 25°C Suojattava valolta
4 Päivä
4074
Näytön laajuus C

Polypropyleeni Natriumkloridi 0,9% 5,6 mg/ml 2-8°C Suojattava valolta
7 Päivä
4074
Näytön laajuus C

Polypropyleeni Natriumkloridi 0,9% 5,6 mg/ml 25°C Suojattava valolta
2 Päivä
4074
Näytön laajuus C

Ei määritetty Natriumkloridi 0,9% ? mg/ml 2-8°C Ei määritetty
24 tunti
2271
Valmistajan antamat stabiiliustiedot

Ei määritetty Natriumkloridi 0,9% ? mg/ml 25°C Ei määritetty
12 tunti
2271
Valmistajan antamat stabiiliustiedot


  Mentions Légales