Última actualização :
05/12/2025
antibiótico   Daptomycin  
injetável
Estabilidade em soluções simples Estabilidade em misturas Factores que afectam a sua estabilidade Compatibilidade Método de administração Bibliografía pdf
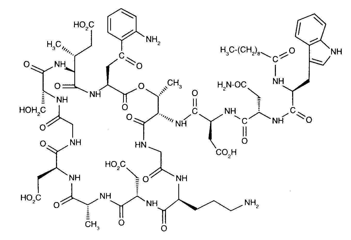
   estrutura química  

Nomes comerciais nos diversos países   Nomes comerciais nos diversos países     

OS NOMES COMERCIAIS SÃO INDICATIVOS E OS EXCIPIENTES DA FORMULAÇÃO PODEM SER DIFERENTES CONFORME O PAÍS E FABRICANTE.

Cubicin Alemanha, Argentina, Australia, Austria, Canadá, Chilli, Colômbia, Dinamarca, Espanha, Estados Unidos de América, Finlandia, França, Gran-bretanha, Grècia, Hungria, Índia, Irlanda, Islandia, Itália, Japón, Malásia, México, Noruega, nova Zelândia, Países Baixos, Polonia, Portugal, Romènia, Suècia, Suicia, Turquia, Venezuela
Daptomicina Argentina, Espanha, Itália
Daptomicine Alemanha, Finlandia, Gran-bretanha, Hungria, Noruega
Exfuno Brasil, Chilli
Stenkivar Nigéria
Trisk Brasil
Estabilidade em soluções simples   injetável   Estabilidade em soluções simples : Daptomycin     
Embalagem Solvente concentração temperatura conservação Duração da estabilidade Bibliografia
vidro Agua para injectaveis 50 mg/ml 2-8°C no especificado
48 hora
2271
Dados estabilidade do fabricante

vidro Agua para injectaveis 50 mg/ml 25°C no especificado
12 hora
2271
Dados estabilidade do fabricante

vidro cloreto de sódio 0,9% 50 mg/ml 2-8°C no especificado
48 hora
2271
Dados estabilidade do fabricante

vidro cloreto de sódio 0,9% 50 mg/ml 2-8°C ao abrigo da luz
7 dia
4074
Nível de evidência C

vidro cloreto de sódio 0,9% 50 mg/ml 25°C no especificado
12 hora
2271
Dados estabilidade do fabricante

vidro cloreto de sódio 0,9% 50 mg/ml 25°C ao abrigo da luz
2 dia
4074
Nível de evidência C

vidro Physionéal® 1.36 (Baxter) 100 mg/ml 25°C ao abrigo da luz
6 hora
3218
Nível de evidência D

vidro Physionéal® 1.36 (Baxter) 100 mg/ml 37°C ao abrigo da luz
6 hora
3218
Nível de evidência D

vidro Physionéal® 1.36 (Baxter) 100 mg/ml 4°C ao abrigo da luz
24 hora
3218
Nível de evidência D

Cloreto de polivinilo Extraneal® (Baxter) 0,070 mg/ml 25°C no especificado
24 hora
4936
Nível de evidência D

Cloreto de polivinilo Extraneal® (Baxter) 0,245 mg/ml 25°C no especificado
48 hora
4936
Nível de evidência D

Cloreto de polivinilo Nutrineal® 50 & 200 mg/ml 37°C ao abrigo da luz
6 hora
3218
Nível de evidência D

Cloreto de polivinilo Nutrineal® 50 & 200 mg/ml 4°C ao abrigo da luz
24 hora
3218
Nível de evidência D

Cloreto de polivinilo Physionéal® 1.36 (Baxter) 0.02 mg/ml 25°C no especificado
24 hora
3439
Nível de evidência D

Cloreto de polivinilo Physionéal® 1.36 (Baxter) 0.02 mg/ml 37°C no especificado
6 hora
3439
Nível de evidência D

Cloreto de polivinilo Physionéal® 1.36 (Baxter) 50 & 200 mg/ml 25°C ao abrigo da luz
6 hora
3218
Nível de evidência D

Cloreto de polivinilo Physionéal® 1.36 (Baxter) 50 & 200 mg/ml 37°C ao abrigo da luz
6 hora
3218
Nível de evidência D

Cloreto de polivinilo Physionéal® 1.36 (Baxter) 50 & 200 mg/ml 4°C ao abrigo da luz
24 hora
3218
Nível de evidência D

Cloreto de polivinilo Physionéal® 2.27 (Baxter) 0.02 mg/ml 25°C no especificado
24 hora
3439
Nível de evidência D

Cloreto de polivinilo Physionéal® 2.27 (Baxter) 0.02 mg/ml 37°C no especificado
6 hora
3439
Nível de evidência D

Cloreto de polivinilo Dianéal® 2.5% glucose (Baxter) 0,070 mg/ml 25°C no especificado
24 hora
4936
Nível de evidência D

Cloreto de polivinilo Dianéal® 2.5% glucose (Baxter) 0,245 mg/ml 25°C no especificado
12 hora
4936
Nível de evidência D

Polipropileno cloreto de sódio 0,9% 14 mg/ml 2-8°C ao abrigo da luz
7 dia
4074
Nível de evidência C

Polipropileno cloreto de sódio 0,9% 14 mg/ml 25°C ao abrigo da luz
4 dia
4074
Nível de evidência C

Polipropileno cloreto de sódio 0,9% 5,6 mg/ml 2-8°C ao abrigo da luz
7 dia
4074
Nível de evidência C

Polipropileno cloreto de sódio 0,9% 5,6 mg/ml 25°C ao abrigo da luz
2 dia
4074
Nível de evidência C

no especificado cloreto de sódio 0,9% ? mg/ml 2-8°C no especificado
24 hora
2271
Dados estabilidade do fabricante

no especificado cloreto de sódio 0,9% ? mg/ml 25°C no especificado
12 hora
2271
Dados estabilidade do fabricante


  Mentions Légales