Poslední aktualizace :
18/03/2026
Antibiotikum   Daptomycin  
injekce
Stabilita roztoků Stabilita směsí Faktory ovlivňující stabilitu Kompatibilita Způsoby aplikace Odkazy pdf
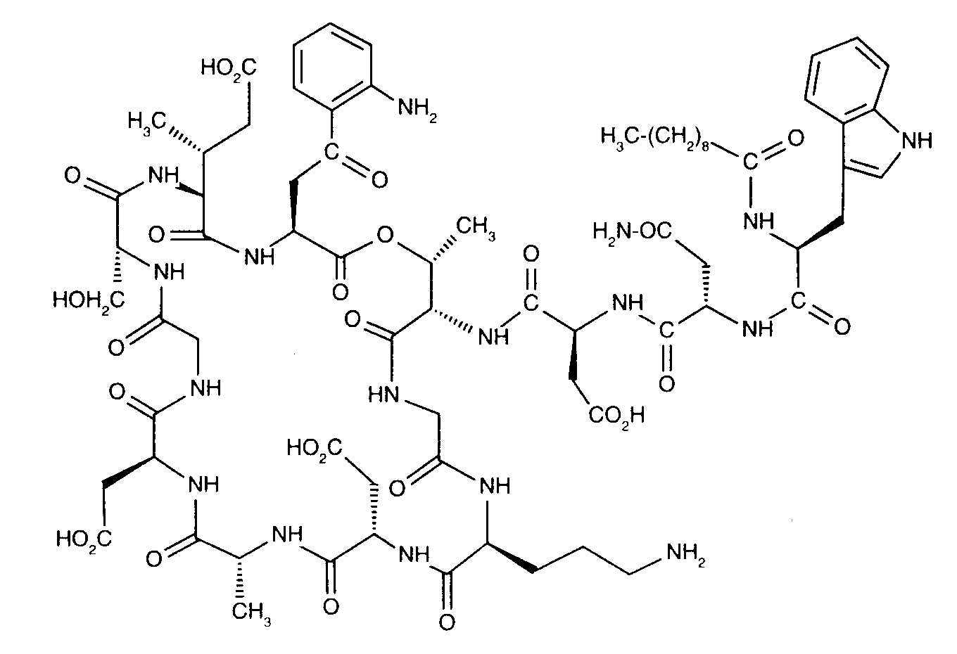
   Chemický vzorec  

Obchodní název   Obchodní název     

Trade names are indicative and excipients composition can be different depending on the country and manufacturers

Cubicin äpanÏlsko, Argentina, Austrálie, Chile, Dánsko, Finsko, Francie, Indie, Irsko, Island, Itálie, Japonsko, Kanada, Kolumbie, Malajsie, MaÔarsko, Mexiko, NÏmecko, Nizozemsko, Norsko, nový Zéland, Polsko, Portugalsko, Rakousko, Rumunsko, Švédsko, Švýcarsko, Turecko, USA, Velká Británie, Venezuela, ÿecko
Daptomicina äpanÏlsko, Argentina, Itálie
Daptomicine Finsko, MaÔarsko, NÏmecko, Norsko, Velká Británie
Exfuno BrazÌlie, Chile
Stenkivar Nigérie
Trisk BrazÌlie
Stabilita roztoků   injekce   Stabilita roztoků : Daptomycin     
Obal RozpouötÏdlo Koncentrace Teplota Uchovávání Trvání stability Odkazy
Sklo Voda pro injekci 50 mg/ml 2-8°C Nespecifikováno
48 Hodina
2271
Údaje o stabilitě od výrobce

Sklo Voda pro injekci 50 mg/ml 25°C Nespecifikováno
12 Hodina
2271
Údaje o stabilitě od výrobce

Sklo Chlorid sodný 0,9% 50 mg/ml 2-8°C Nespecifikováno
48 Hodina
2271
Údaje o stabilitě od výrobce

Sklo Chlorid sodný 0,9% 50 mg/ml 2-8°C Chráněno před světlem
7 Den
4074
Úroveň zkoušky C

Sklo Chlorid sodný 0,9% 50 mg/ml 25°C Nespecifikováno
12 Hodina
2271
Údaje o stabilitě od výrobce

Sklo Chlorid sodný 0,9% 50 mg/ml 25°C Chráněno před světlem
2 Den
4074
Úroveň zkoušky C

Sklo Physionéal® 1.36 (Baxter) 100 mg/ml 25°C Chráněno před světlem
6 Hodina
3218
Úroveň zkoušky D

Sklo Physionéal® 1.36 (Baxter) 100 mg/ml 37°C Chráněno před světlem
6 Hodina
3218
Úroveň zkoušky D

Sklo Physionéal® 1.36 (Baxter) 100 mg/ml 4°C Chráněno před světlem
24 Hodina
3218
Úroveň zkoušky D

Polyvinyl chlorid Extraneal® (Baxter) 0,070 mg/ml 25°C Nespecifikováno
24 Hodina
4936
Úroveň zkoušky D

Polyvinyl chlorid Extraneal® (Baxter) 0,245 mg/ml 25°C Nespecifikováno
48 Hodina
4936
Úroveň zkoušky D

Polyvinyl chlorid Nutrineal® 50 & 200 mg/ml 37°C Chráněno před světlem
6 Hodina
3218
Úroveň zkoušky D

Polyvinyl chlorid Nutrineal® 50 & 200 mg/ml 4°C Chráněno před světlem
24 Hodina
3218
Úroveň zkoušky D

Polyvinyl chlorid Physionéal® 1.36 (Baxter) 0.02 mg/ml 25°C Nespecifikováno
24 Hodina
3439
Úroveň zkoušky D

Polyvinyl chlorid Physionéal® 1.36 (Baxter) 0.02 mg/ml 37°C Nespecifikováno
6 Hodina
3439
Úroveň zkoušky D

Polyvinyl chlorid Physionéal® 1.36 (Baxter) 50 & 200 mg/ml 25°C Chráněno před světlem
6 Hodina
3218
Úroveň zkoušky D

Polyvinyl chlorid Physionéal® 1.36 (Baxter) 50 & 200 mg/ml 37°C Chráněno před světlem
6 Hodina
3218
Úroveň zkoušky D

Polyvinyl chlorid Physionéal® 1.36 (Baxter) 50 & 200 mg/ml 4°C Chráněno před světlem
24 Hodina
3218
Úroveň zkoušky D

Polyvinyl chlorid Physionéal® 2.27 (Baxter) 0.02 mg/ml 25°C Nespecifikováno
24 Hodina
3439
Úroveň zkoušky D

Polyvinyl chlorid Physionéal® 2.27 (Baxter) 0.02 mg/ml 37°C Nespecifikováno
6 Hodina
3439
Úroveň zkoušky D

Polyvinyl chlorid Dianéal® 2.5% glucose (Baxter) 0,070 mg/ml 25°C Nespecifikováno
24 Hodina
4936
Úroveň zkoušky D

Polyvinyl chlorid Dianéal® 2.5% glucose (Baxter) 0,245 mg/ml 25°C Nespecifikováno
12 Hodina
4936
Úroveň zkoušky D

polypropylen Chlorid sodný 0,9% 14 mg/ml 2-8°C Chráněno před světlem
7 Den
4074
Úroveň zkoušky C

polypropylen Chlorid sodný 0,9% 14 mg/ml 25°C Chráněno před světlem
4 Den
4074
Úroveň zkoušky C

polypropylen Chlorid sodný 0,9% 5,6 mg/ml 2-8°C Chráněno před světlem
7 Den
4074
Úroveň zkoušky C

polypropylen Chlorid sodný 0,9% 5,6 mg/ml 25°C Chráněno před světlem
2 Den
4074
Úroveň zkoušky C

Nespecifikováno Chlorid sodný 0,9% ? mg/ml 2-8°C Nespecifikováno
24 Hodina
2271
Údaje o stabilitě od výrobce

Nespecifikováno Chlorid sodný 0,9% ? mg/ml 25°C Nespecifikováno
12 Hodina
2271
Údaje o stabilitě od výrobce


  Mentions Légales