Zadnji put ažurirano :
18/03/2026
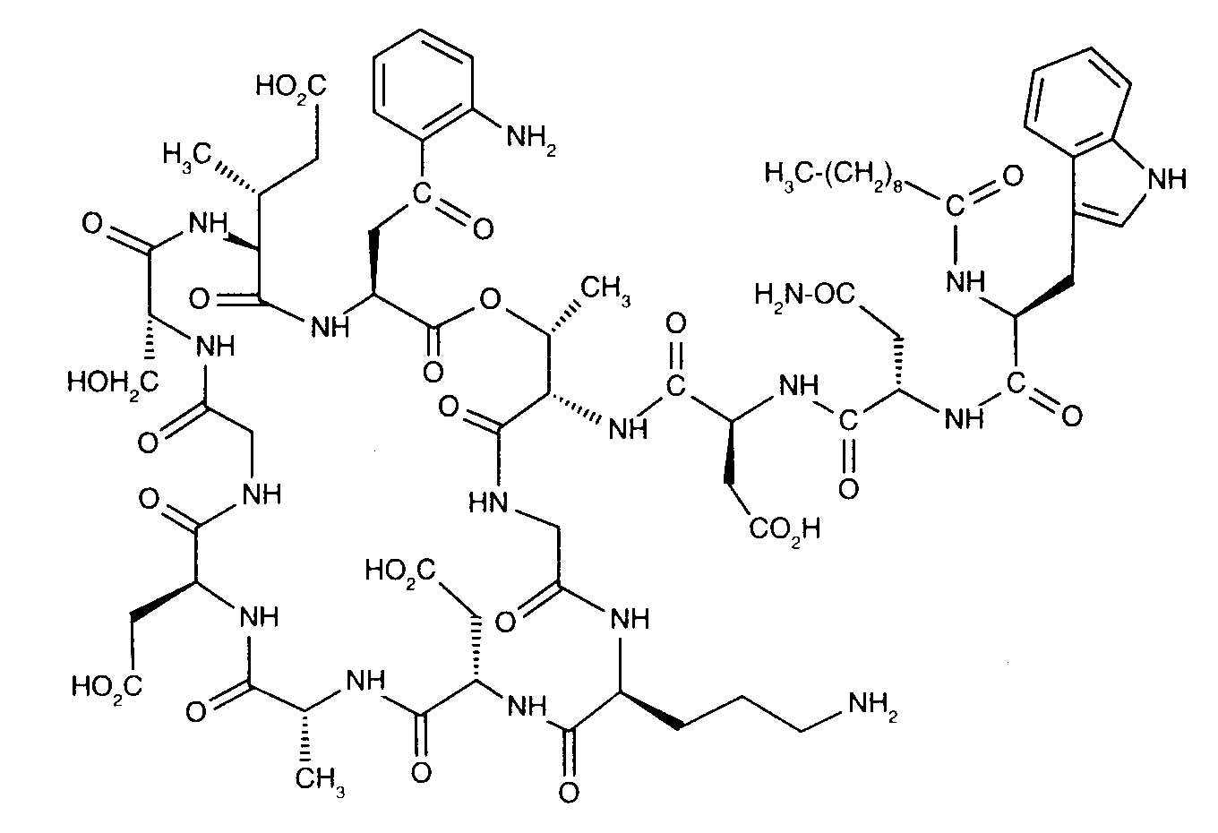
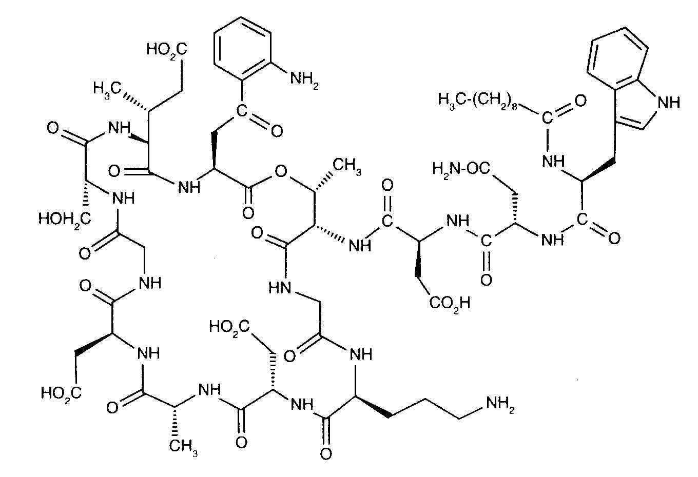
antibiotik   Daptomycin  
injekcija
Stabilizacija rješenja Stabilnost mješavine Stabilizacijski faktor Kompatibilnosti način davanja lijeka Bibliografija pdf
   Kemijska struktura  

Nekomercijalni   Nekomercijalni     

Zaštićeni nazivi su indikativni i sastav ekscipijensa može biti različit ovisno o državi i laboratorijima

Cubicin Indija, Argentina, Australija, Austrija, Čile, Danska, Finska, Francuska, Grčka, Irska, Island, Italija, Japan, Kanada, Kolumbija, Madžarska, Malezija, Meksiko, Nizozemska, Njemačka, Norveška, novi Zeland, Poljska, Portugal, Rumunjska, S A D, Španjolska, Švedska, Švicarska, Turska, Velika Britanija, Venecuela
Daptomicina Argentina, Italija, Španjolska
Daptomicine Finska, Madžarska, Njemačka, Norveška, Velika Britanija
Exfuno Brazil, Čile
Stenkivar Nigerija
Trisk Brazil
Stabilizacija rješenja   injekcija   Stabilizacija rješenja : Daptomycin     
Kontejner sredstvo za rastapanje koncentracija temperatura Konzerviranje Trajanje stabilnosti Bibliografija
čaša čista voda za injektiranje 50 mg/ml 2-8°C nespecifičan
48 sat
2271
Podaci proizvođača o stabilnosti

čaša čista voda za injektiranje 50 mg/ml 25°C nespecifičan
12 sat
2271
Podaci proizvođača o stabilnosti

čaša natrijumkorid 0,9% 50 mg/ml 2-8°C nespecifičan
48 sat
2271
Podaci proizvođača o stabilnosti

čaša natrijumkorid 0,9% 50 mg/ml 2-8°C Zaštićeno od svjetlosti
7 dan
4074
Razina dokaza C

čaša natrijumkorid 0,9% 50 mg/ml 25°C nespecifičan
12 sat
2271
Podaci proizvođača o stabilnosti

čaša natrijumkorid 0,9% 50 mg/ml 25°C Zaštićeno od svjetlosti
2 dan
4074
Razina dokaza C

čaša Physionéal® 1.36 (Baxter) 100 mg/ml 25°C Zaštićeno od svjetlosti
6 sat
3218
Razina dokaza D

čaša Physionéal® 1.36 (Baxter) 100 mg/ml 37°C Zaštićeno od svjetlosti
6 sat
3218
Razina dokaza D

čaša Physionéal® 1.36 (Baxter) 100 mg/ml 4°C Zaštićeno od svjetlosti
24 sat
3218
Razina dokaza D

polivinilklorid Extraneal® (Baxter) 0,070 mg/ml 25°C nespecifičan
24 sat
4936
Razina dokaza D

polivinilklorid Extraneal® (Baxter) 0,245 mg/ml 25°C nespecifičan
48 sat
4936
Razina dokaza D

polivinilklorid Nutrineal® 50 & 200 mg/ml 37°C Zaštićeno od svjetlosti
6 sat
3218
Razina dokaza D

polivinilklorid Nutrineal® 50 & 200 mg/ml 4°C Zaštićeno od svjetlosti
24 sat
3218
Razina dokaza D

polivinilklorid Physionéal® 1.36 (Baxter) 0.02 mg/ml 25°C nespecifičan
24 sat
3439
Razina dokaza D

polivinilklorid Physionéal® 1.36 (Baxter) 0.02 mg/ml 37°C nespecifičan
6 sat
3439
Razina dokaza D

polivinilklorid Physionéal® 1.36 (Baxter) 50 & 200 mg/ml 25°C Zaštićeno od svjetlosti
6 sat
3218
Razina dokaza D

polivinilklorid Physionéal® 1.36 (Baxter) 50 & 200 mg/ml 37°C Zaštićeno od svjetlosti
6 sat
3218
Razina dokaza D

polivinilklorid Physionéal® 1.36 (Baxter) 50 & 200 mg/ml 4°C Zaštićeno od svjetlosti
24 sat
3218
Razina dokaza D

polivinilklorid Physionéal® 2.27 (Baxter) 0.02 mg/ml 25°C nespecifičan
24 sat
3439
Razina dokaza D

polivinilklorid Physionéal® 2.27 (Baxter) 0.02 mg/ml 37°C nespecifičan
6 sat
3439
Razina dokaza D

polivinilklorid Dianéal® 2.5% glucose (Baxter) 0,070 mg/ml 25°C nespecifičan
24 sat
4936
Razina dokaza D

polivinilklorid Dianéal® 2.5% glucose (Baxter) 0,245 mg/ml 25°C nespecifičan
12 sat
4936
Razina dokaza D

polipropilen natrijumkorid 0,9% 14 mg/ml 2-8°C Zaštićeno od svjetlosti
7 dan
4074
Razina dokaza C

polipropilen natrijumkorid 0,9% 14 mg/ml 25°C Zaštićeno od svjetlosti
4 dan
4074
Razina dokaza C

polipropilen natrijumkorid 0,9% 5,6 mg/ml 2-8°C Zaštićeno od svjetlosti
7 dan
4074
Razina dokaza C

polipropilen natrijumkorid 0,9% 5,6 mg/ml 25°C Zaštićeno od svjetlosti
2 dan
4074
Razina dokaza C

nespecifičan natrijumkorid 0,9% ? mg/ml 2-8°C nespecifičan
24 sat
2271
Podaci proizvođača o stabilnosti

nespecifičan natrijumkorid 0,9% ? mg/ml 25°C nespecifičan
12 sat
2271
Podaci proizvođača o stabilnosti


  Mentions Légales