Son güncelleme :
27/11/2025
Antifungal   Anidulafungin  
Enjeksiyon
Çözeltilerin stabilitesi Karışımlardaki stabilitesi Stabiliteyi etkileyen faktörler Uyumluluk Uygulama yöntemi Kaynaklar pdf
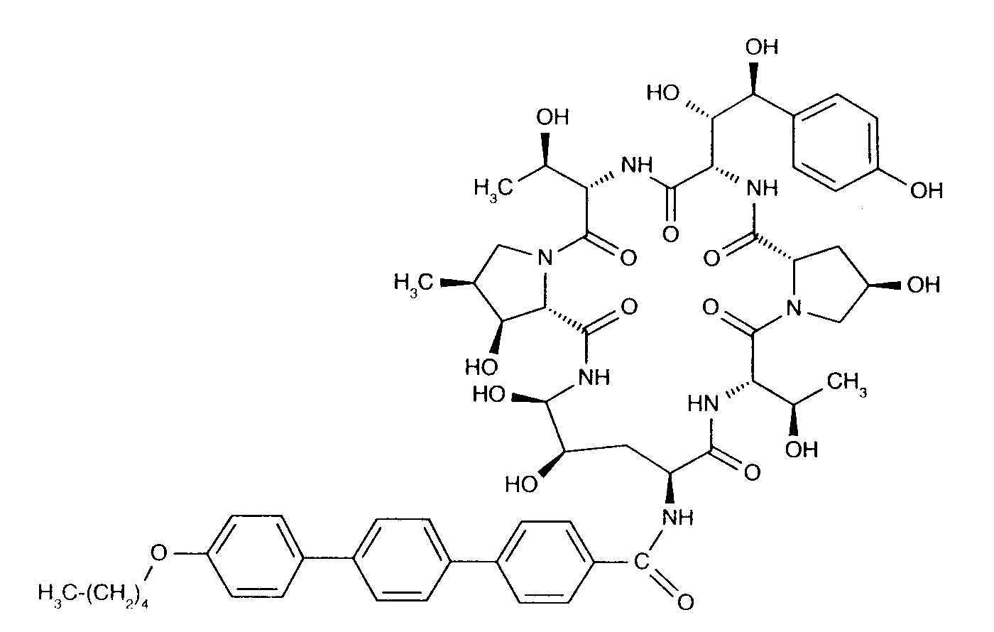
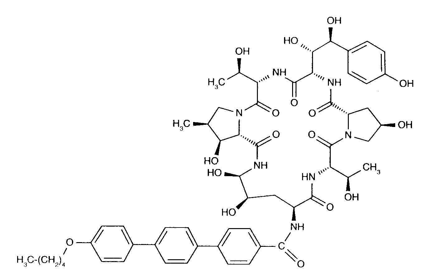
   Kimyasal yapı   

Ticari isim   Ticari isim     

Trade names are indicative and excipients composition can be different depending on the country and manufacturers

Anidulafungin Almanya, Belçika, Büyük Britanya
Anidulafungina Brezilya, İspanya
Ecalta Almanya, Amerika Birleşik Devletleri, Arjantin, Belçika, Brezilya, Büyük Britanya, Danimarka, Finlandiya, Fransa, Hollanda, İspanya, İsveç, İsviçre, İtalya, Kanada, Kolombiya, Lüksemburg, Macaristan, Malezya, Norveç, Peru, Polonya, Romanya, Şili, Türkiye, Venezuela, Yunanistan
Equalta Meksika
Eraxis Amerika Birleşik Devletleri, Avustralya, Kanada
Fuzig Meksika
Uygulama yöntemi   Uygulama yöntemi :Anidulafungin     
veri yok

  Mentions Légales